Ответы
Ответ дал:
0
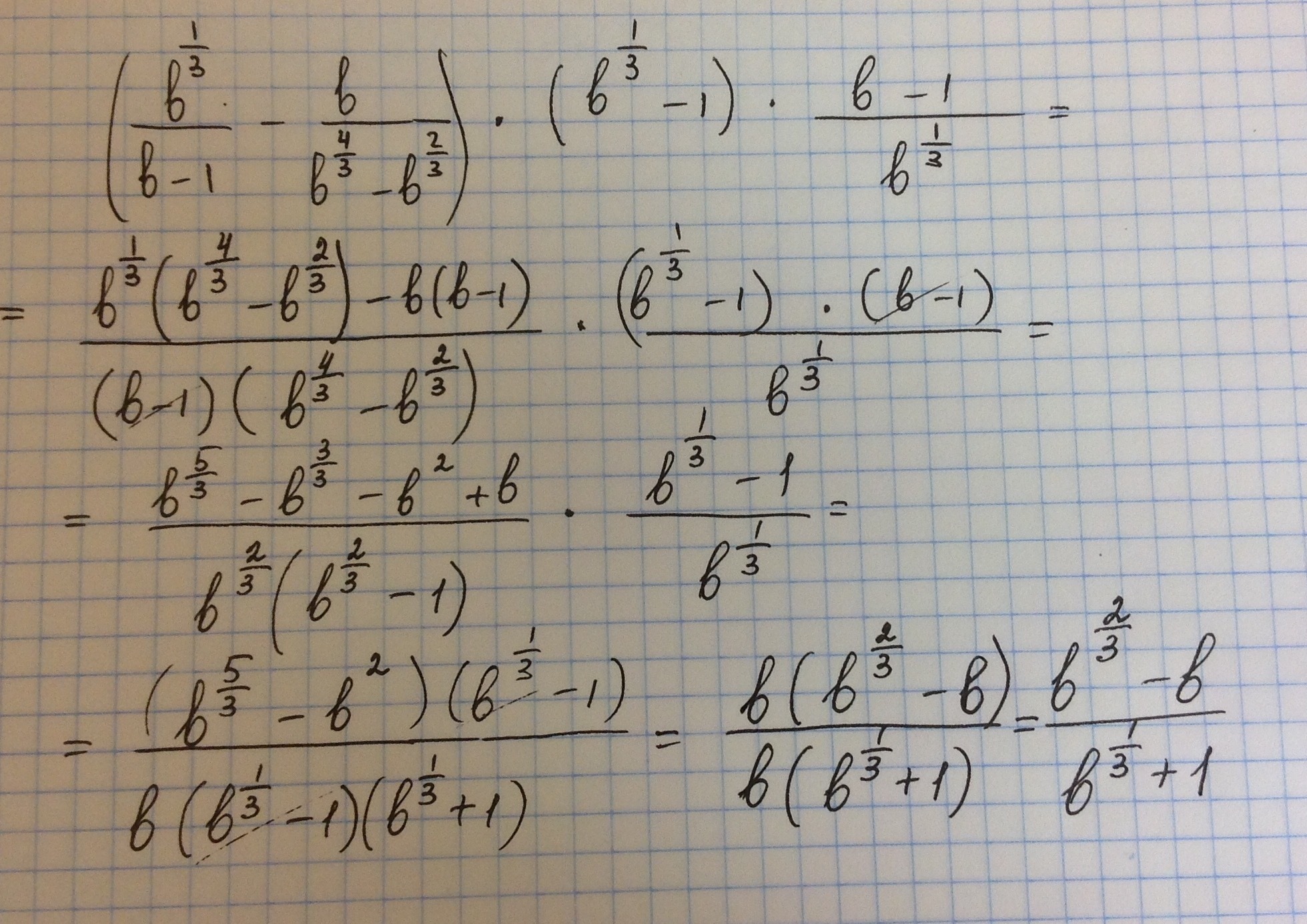
Решение во вложении...
Приложения:

Ответ дал:
0
Ответ на фото/////////////
Приложения:

Вас заинтересует
2 года назад
3 года назад
9 лет назад