Ответы
Ответ дал:
0
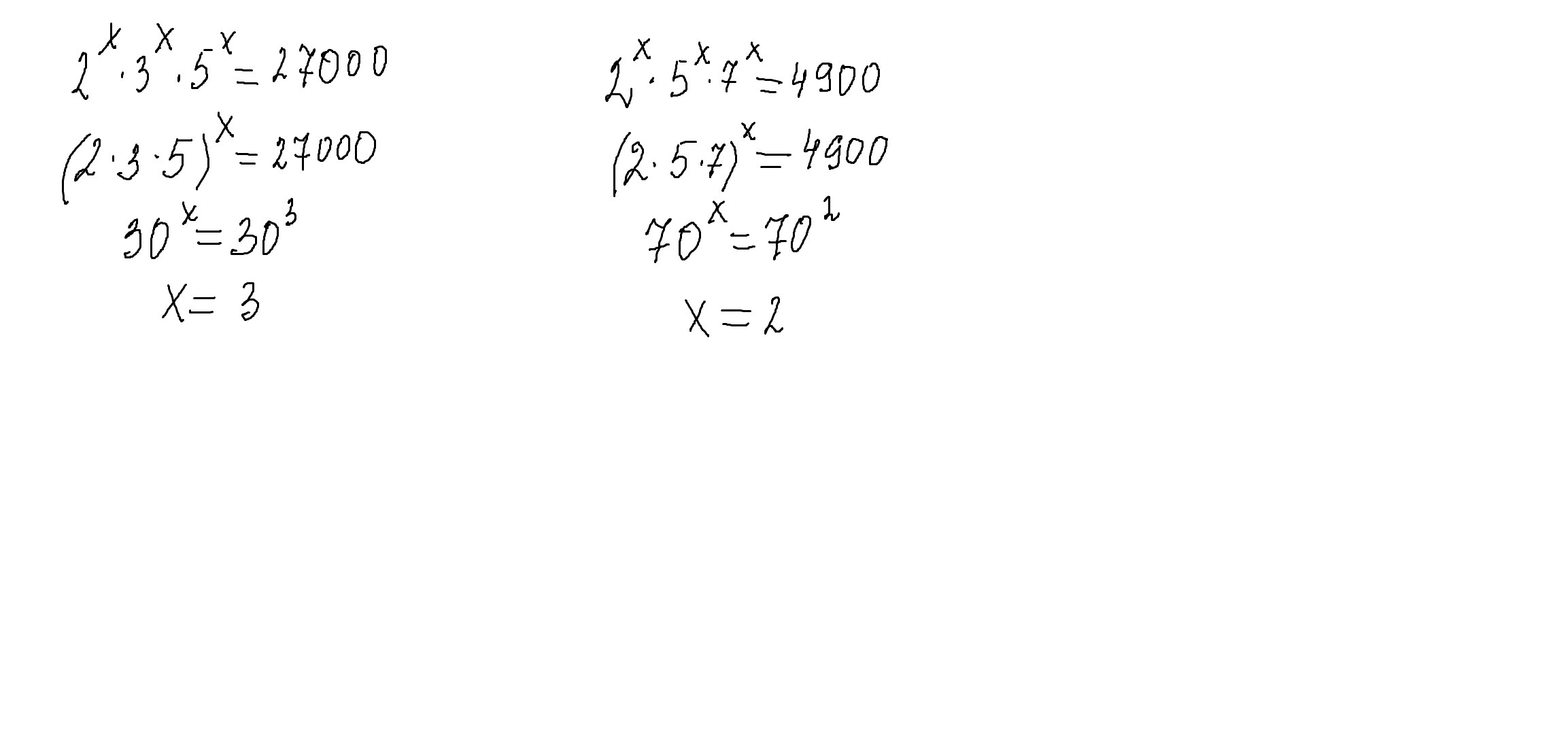
Ответ: х=3 х=2
Пошаговое объяснение:
решение смотри внизу
Приложения:

Вас заинтересует
2 года назад
3 года назад
3 года назад
9 лет назад
9 лет назад
9 лет назад