Ответы
Ответ дал:
0
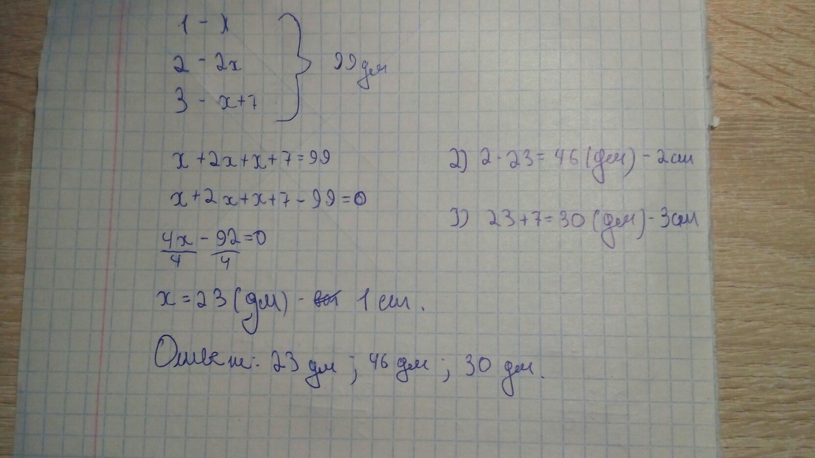
х+2х+x+7=99
4х+7=99
4x=99-7
4х=92
х=92:4
х=23 (дм) - вторая сторона
2х=2·23=46 (дм) - первая сторона
х+7=23+7=30 (дм) - третья сторона.
Ответ: 46 дм; 23 дм; 30 дм.
Ответ дал:
0
...................................
Приложения:

Вас заинтересует
2 года назад
3 года назад
3 года назад
9 лет назад
9 лет назад