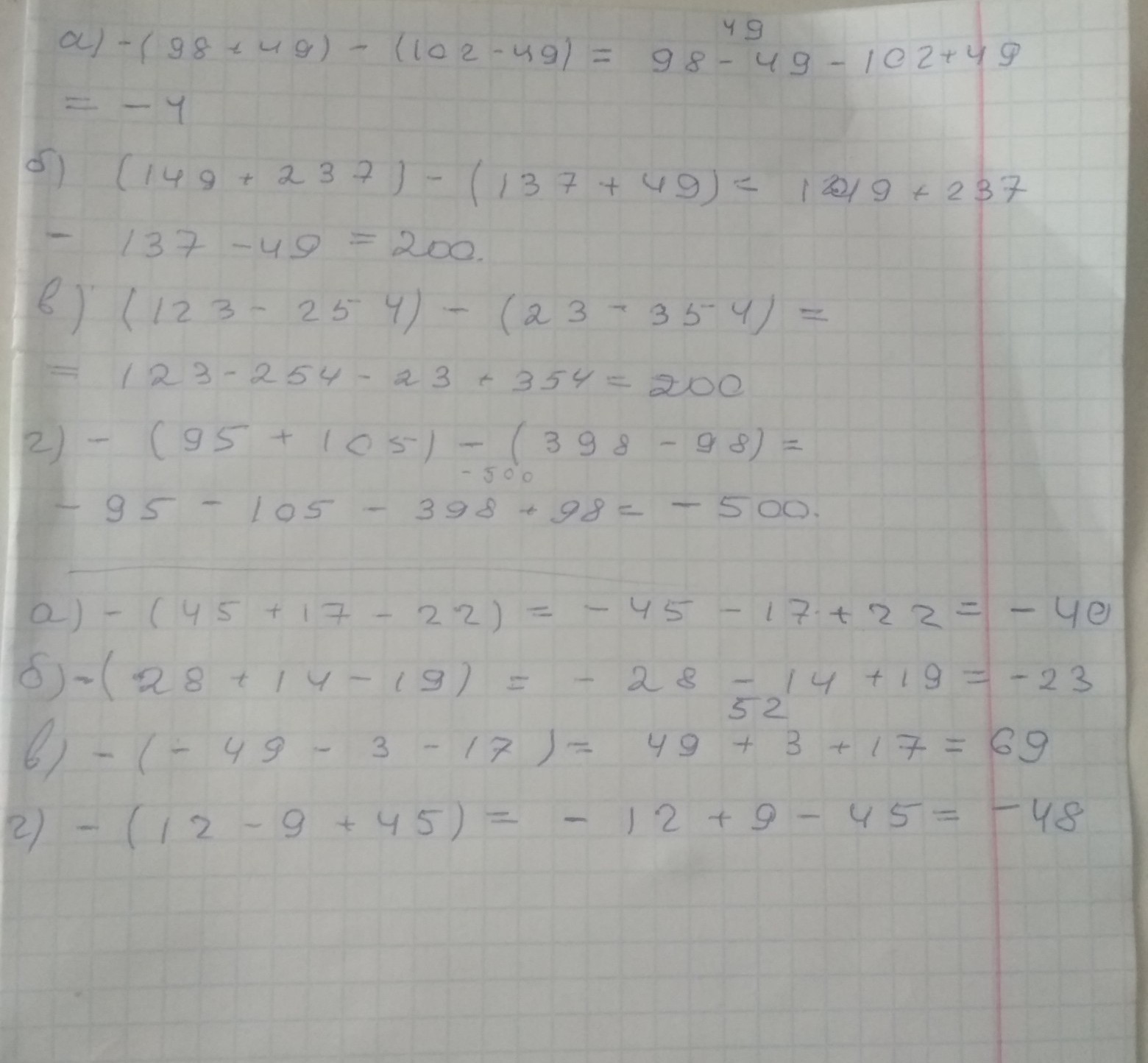
Раскройте скобки и вычислите:
а) – (98 + 49) – (102 – 49)=
б) (149 + 237) – (137 + 49)=
в) (123 – 254) – (23 – 354)=
г) – (95 + 105) – (398 – 98)=
а) -(45+17-22)=
б) -(28+14-19)=
в) -(-49-3-17)=
г) -(12-9+45)=
Ответы
Ответ дал:
0
вот, надеюсь, что правильно
Приложения:

Вас заинтересует
2 года назад
2 года назад
3 года назад
3 года назад
9 лет назад