• Предмет: Математика
  • Автор: vvalley999gmailcom
  • Вопрос задан 8 лет назад

решить примеры за 5 класс

Приложения:

Ответы

Ответ дал: sumaya13q
0
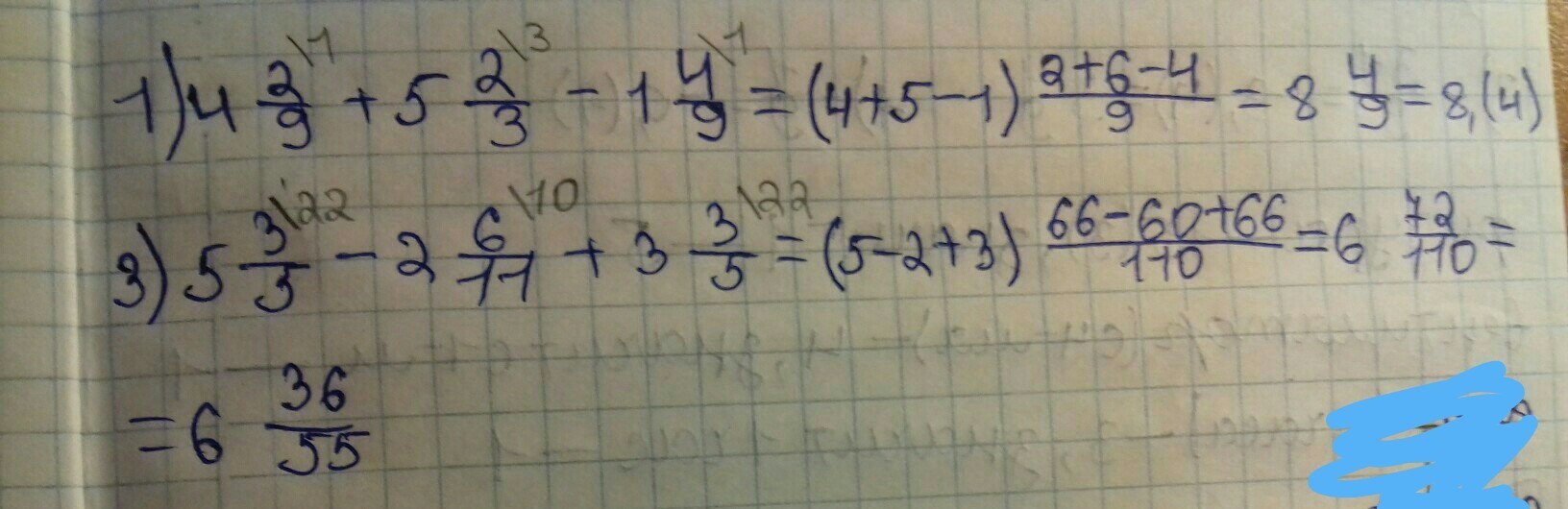
решение и ответ на фотографии☝
Приложения:
Ответ дал: vvalley999gmailcom
0
спасибо огромное
Ответ дал: sumaya13q
0
не за что
Ответ дал: sumaya13q
0
отметьте это решение как лучшее)
Ответ дал: sumaya13q
0
пожалуйста))))
Вас заинтересует