• Предмет: Алгебра
  • Автор: Careeeereeree
  • Вопрос задан 8 лет назад

Алгебра. 75 баллов за ответ

Приложения:

Ответы

Ответ дал: maksimcat
0

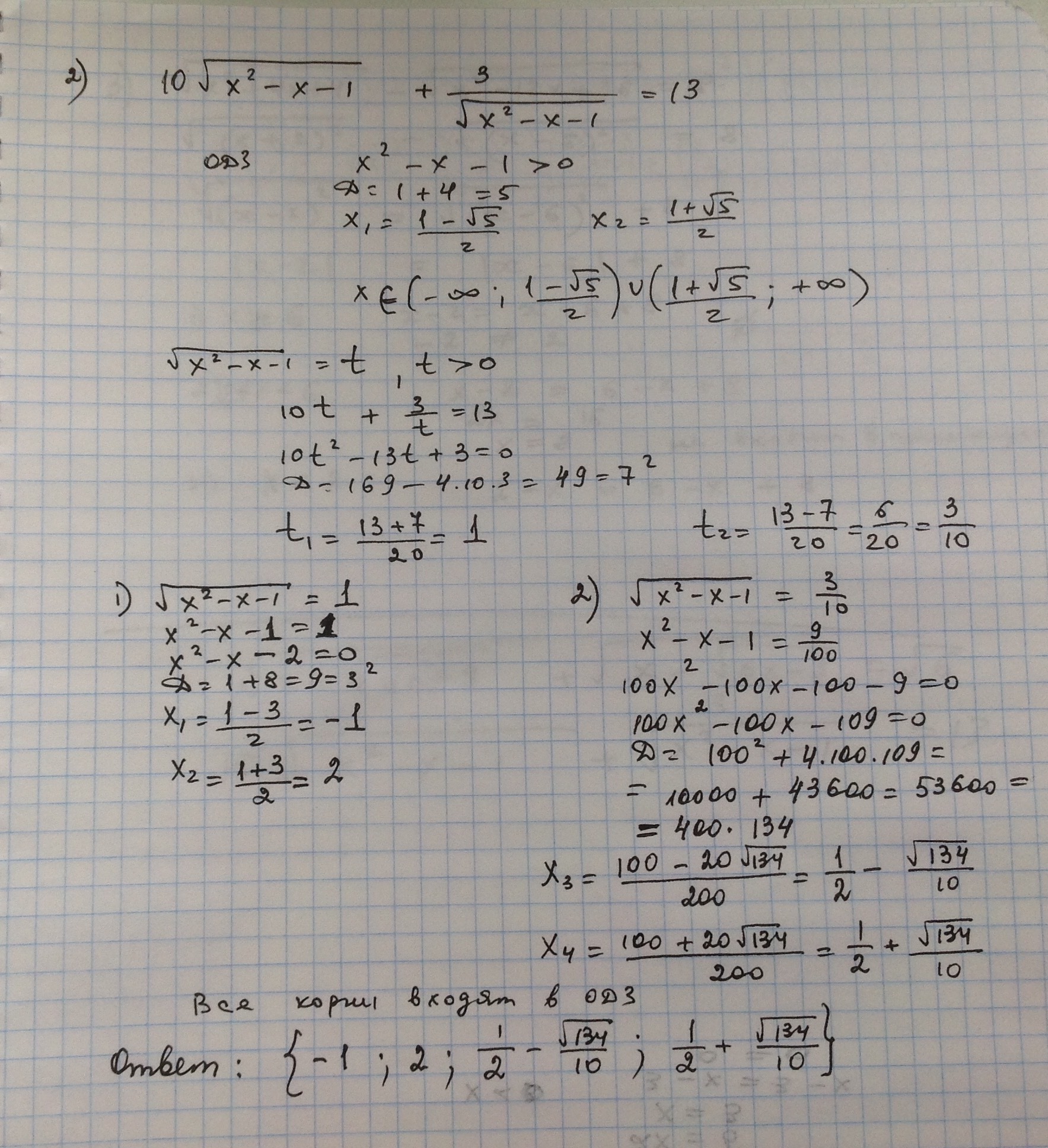
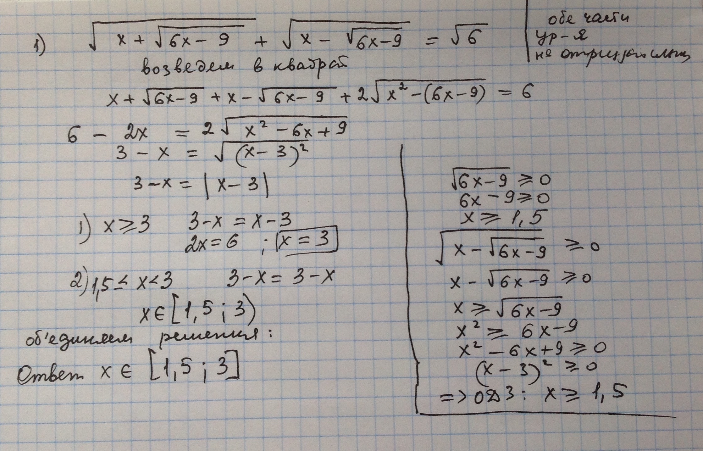
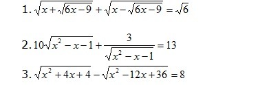
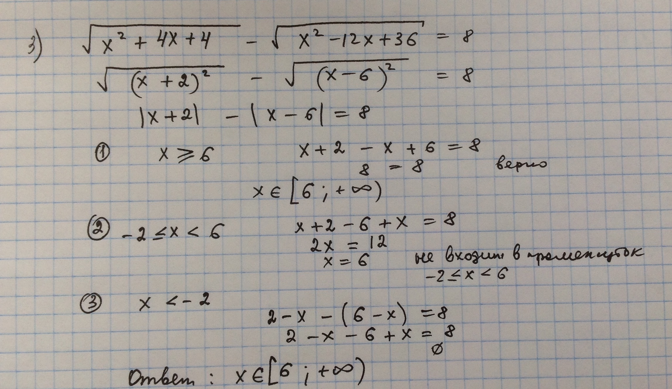
Ответ на фото//////////////

Приложения:
Вас заинтересует