• Предмет: Алгебра
  • Автор: SoJIaT
  • Вопрос задан 8 лет назад

help me!!!!!!!!!!!!!!!

Приложения:

Ответы

Ответ дал: montiiiiiiiiiiiiiii
0

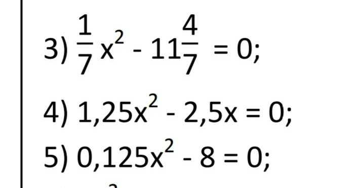
3) 1/7х^2=81/7

Х^2=81/7:7/1

Х^2=81

Х=9

4)х (1,25х-2,5)=0

Х=0 1,25х=2,5

Х=2

5)0,125х^2=8

Х^2= 8/0,125=8/1*8/1=64

Х=8

Вас заинтересует