• Предмет: Алгебра
  • Автор: dddaaarrrriii
  • Вопрос задан 8 лет назад

Помогите пожалуйста.УМОЛЯЮ ВАС

Приложения:

Ответы

Ответ дал: parus77
0

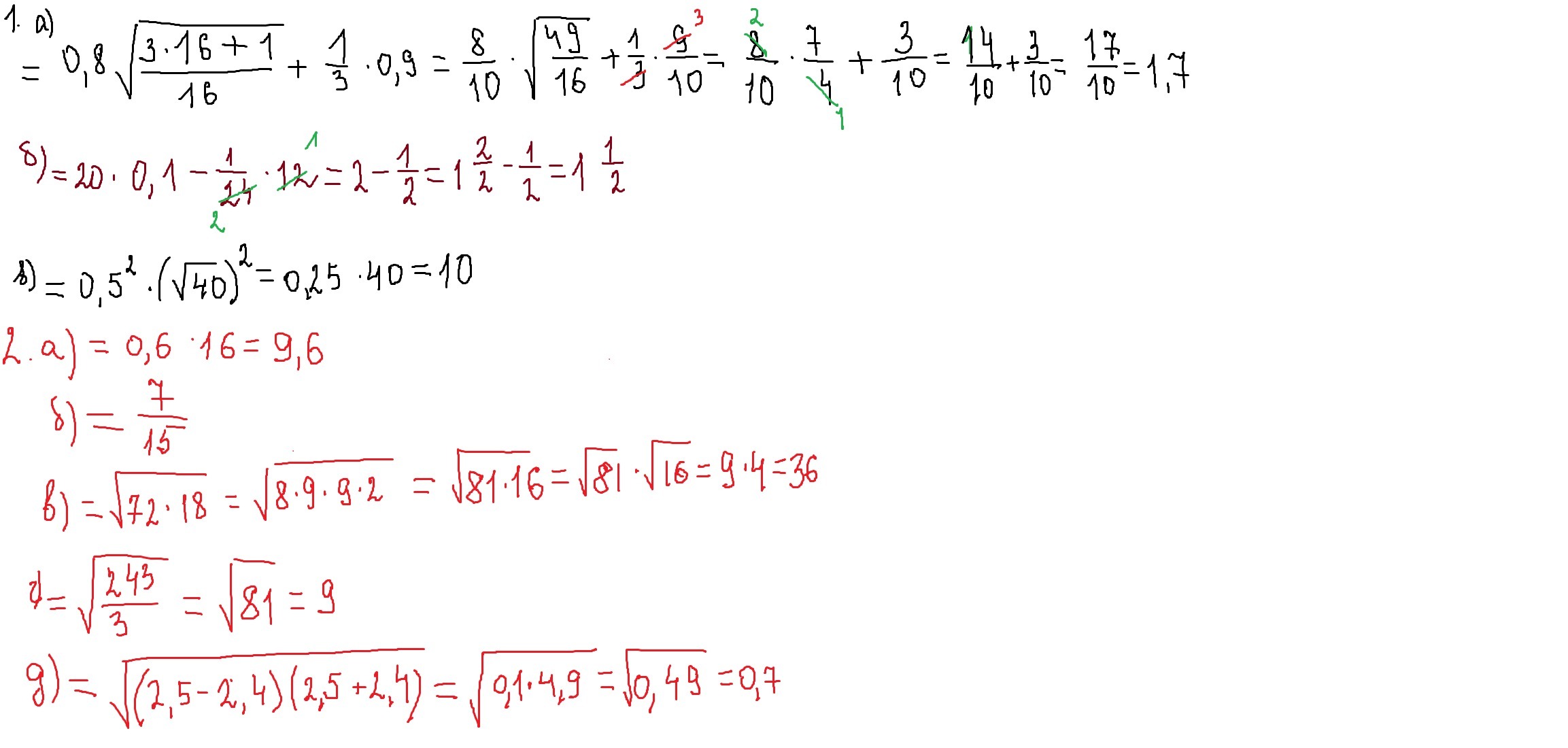
решение смотри внизу и сохрани таблицу степеней.при решении применяли св-ва корней.

Приложения:
Вас заинтересует