• Предмет: Алгебра
  • Автор: Julia1331
  • Вопрос задан 8 лет назад

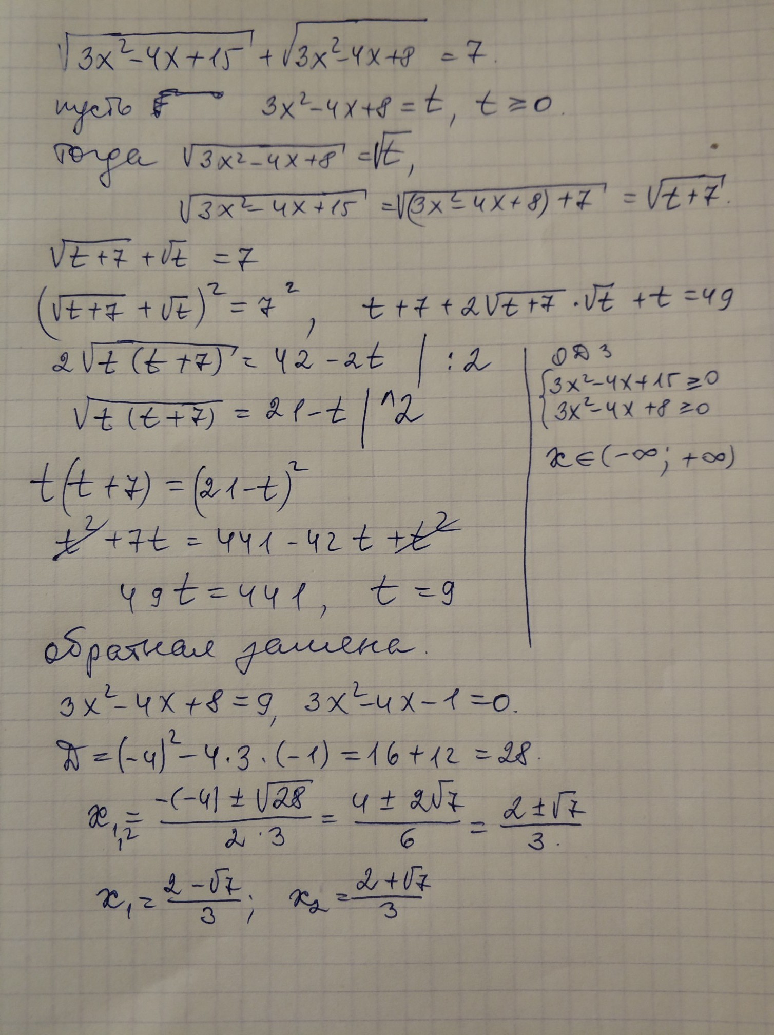
Решите уравнение, пожалуйста sqrt(3x^2-4x+15)+sqrt(3x^2-4x+8)=7

Ответы

Ответ дал: kirichekov
0
решение во вложении.....
Приложения:
Ответ дал: Julia1331
0
Огромное спасибо! ♥
Ответ дал: kirichekov
0
успехов Вам в учебе
Ответ дал: oganesbagoyan
0

task/30647175  Решить уравнение √(3x²- 4x+15) +√(3x²- 4x+8) = 7

решение    ОДЗ :  x ∈ ( - ∞ ; ∞ ) ,  т.к.

3x²- 4x+8=3(x -2/3)²+20/3 ≥ 20/3   >  0   || D₁=2² -3*8 = -24 < 0 || следовательно  и 3x²- 4x+15 = ( 3x²- 4x+8 ) + 7  > 0                                           * * * 3(x -2/3)² +41/3  ≥  41/3 * * *

замена : t = 3x²- 4x+ 8 ≥ 20/3 ; √(t +7) + √t =7 ⇔√( t +7 ) = 7 - √t  

возведем обе части уравнения √( t +7 ) = 7 - √t  в квадрат

* * * необходимо  7 - √t  ≥ 0  ⇔ √t ≤ 7 ⇔  0 ≤ t ≤ 49    * * *

t +7 = 49 -14√t + t ⇔ 14√t  = 42  ⇔ √t  =3 ⇔  t  = 9   || 7 - √t = 4 >0 ||

3x²- 4x+8 = 9 ⇔ 3x²- 4x -1 =0 ;  D₁ = 2² -3*(-1) =7= (√7)²    

x₁  =(2 -√7) / 3   ; x₂ = (2+√7)/3 .

Ответ :   (2 ±√7)/3  .

Приложения:
Вас заинтересует