Ответы
Ответ дал:
0
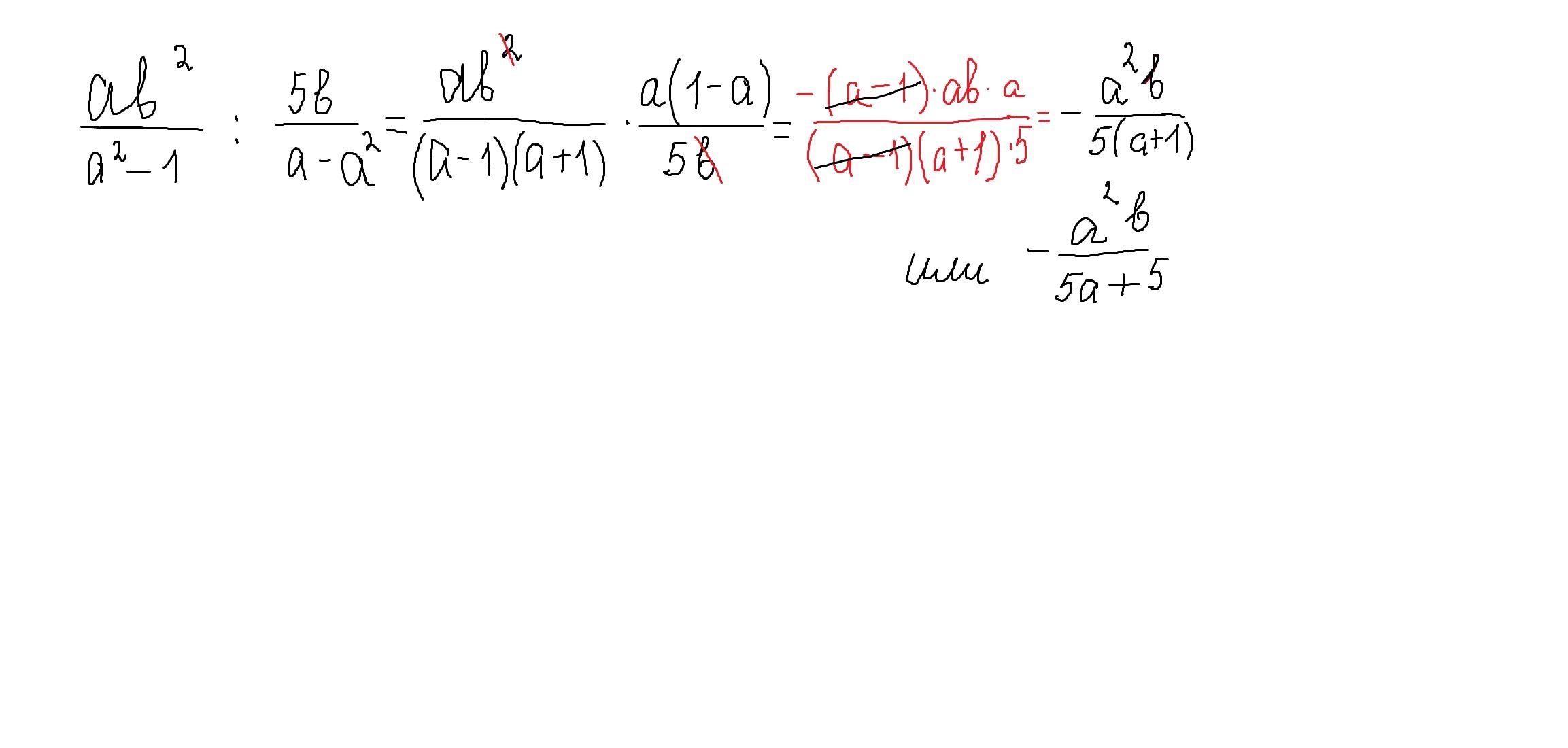
если правильно поняла условие,то решение внизу.если что не так-напиши.
Приложения:

Вас заинтересует
2 года назад
3 года назад
3 года назад
9 лет назад
9 лет назад