вариант 4 даны точки А(0;4) В(4;2) С(2;-2) Д(-2;0) 1. а)Найдите координаты и длину вектора а=АВ+3АД-0,5СА б)Разложите вектор а по координатным векторам i и j 2. a) Запишите ур-е с диаметром АВ. б) Выясните взаимное расположение окружности и точек С и Д. 3. Запиши ур-е прямой 4. Докажите что АВСД - квадр
Ответы
Ответ дал:
0
AB=

16+20 = √36 = 6
16+20 = √36 = 6
Ответ дал:
0
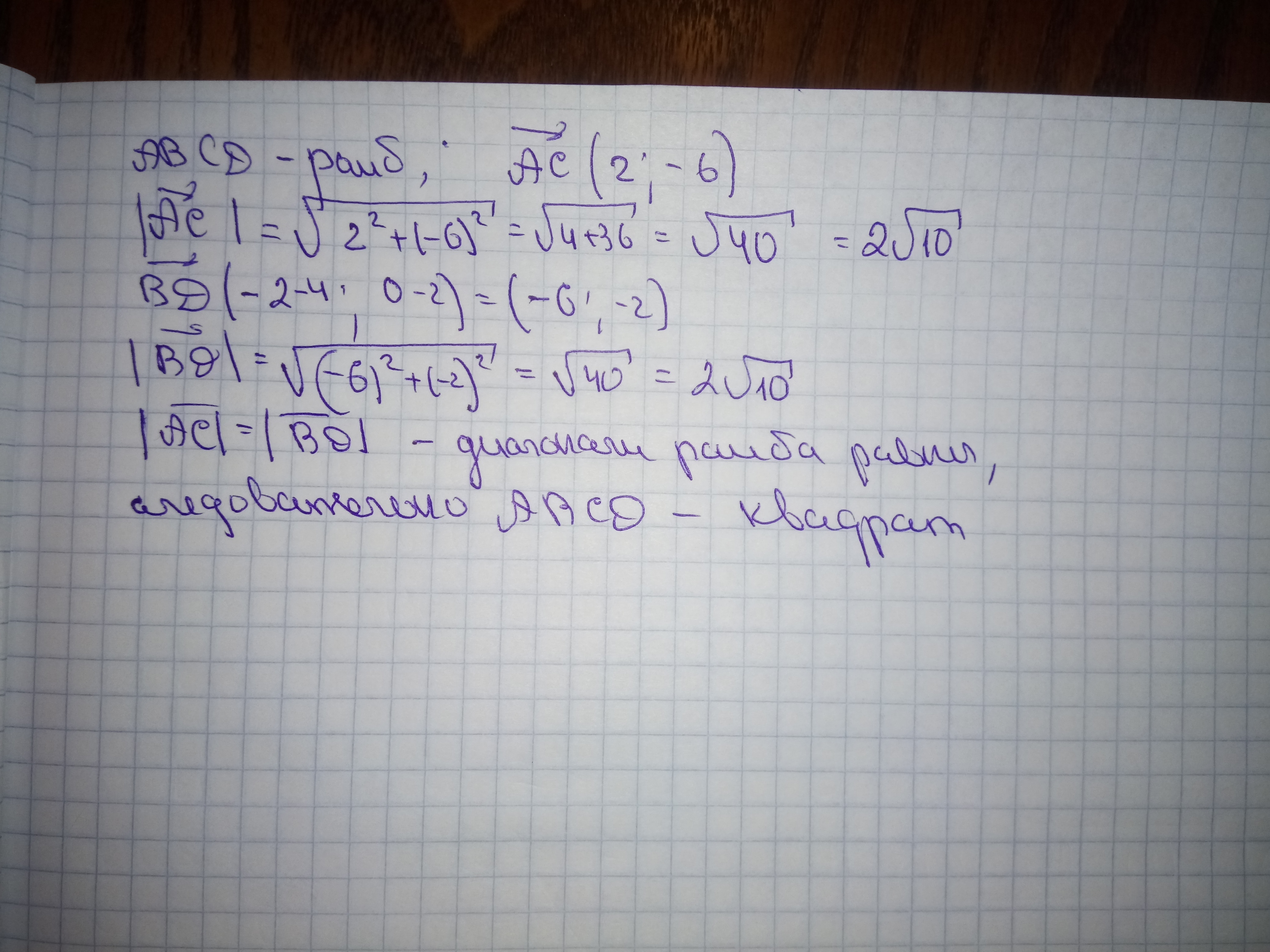
Решение задания приложено
Приложения:


Вас заинтересует
2 года назад
3 года назад
3 года назад
9 лет назад