Ответы
Ответ дал:
0
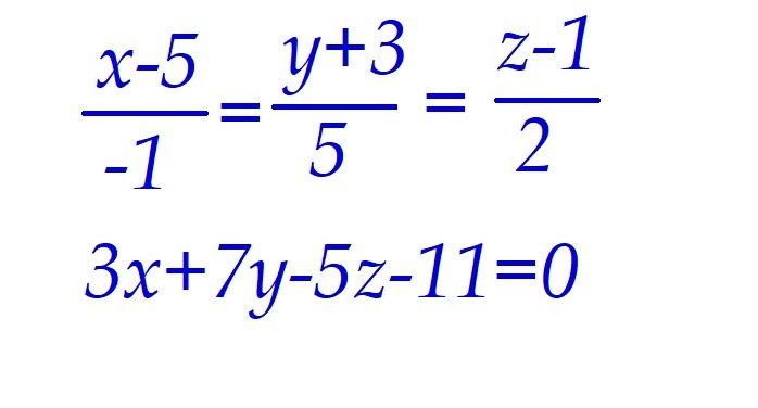
Чтоб найти точку пресечения, мы должны составить параметрическое уравнение прямой и за тем подставить получившиеся значения в уравнение плоскости, мы находим переменную, которая поможет нам найти точку пересечения и подставляем ее в параметрическое уравнение прямой.
Приложения:

Вас заинтересует
2 года назад
2 года назад
3 года назад
9 лет назад
9 лет назад
9 лет назад