Ответы
Ответ дал:
0
в первом все делается по свойствам логарифмов, а во втором через метод замены. обязательно укажи область допустимых значений (одз)
Приложения:

Ответ дал:
0
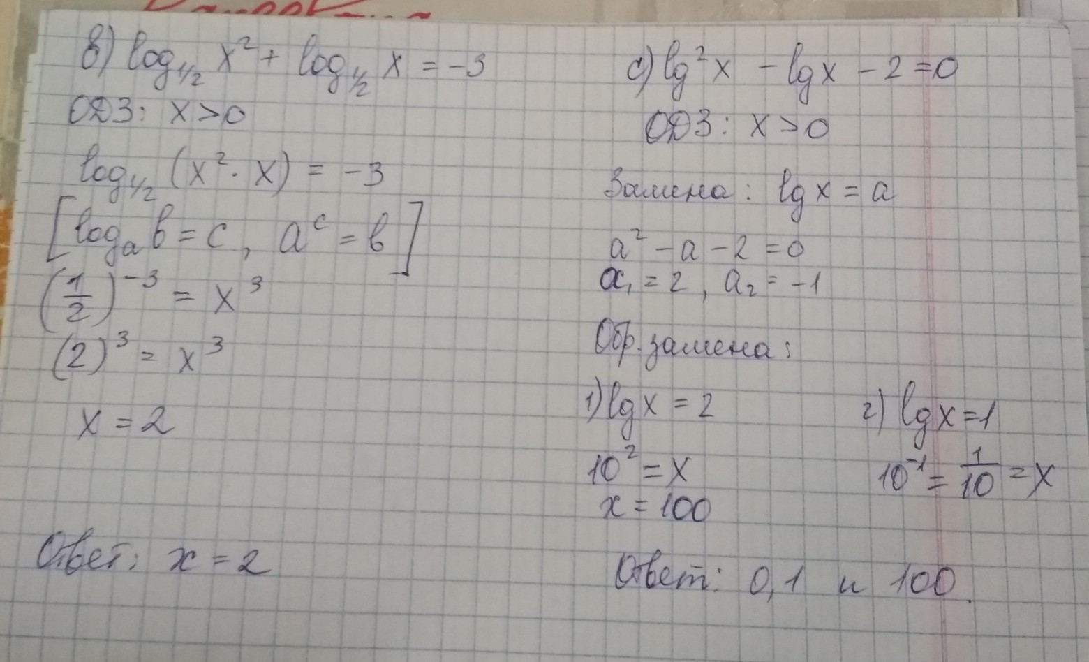
Ответ:
1) х=2
2)х₁=0,1, х=100
Пошаговое объяснение:
logₐx + logₐy = logₐ (x · y);
logₐx − logₐy = logₐ (x : y).
1) log₁₍₂х²+log₁₍₂х=log₁₍₂2³
log₁₍₂х³=log₁₍₂8
х³=8
2) lg²x-lg x - 2=0
Пусть lg x=к
к²-к-2=0
Д=1+8=9
к₁=-1 к₂=2
lg x=-1
х₁=0,1
lg x=2
х₂=100
Приложения:

Вас заинтересует
2 года назад
2 года назад
3 года назад
9 лет назад
9 лет назад
9 лет назад
9 лет назад