• Предмет: Алгебра
  • Автор: temikos666
  • Вопрос задан 8 лет назад

Решите пожалуйста систему (вложение)

Приложения:

Ответы

Ответ дал: sangers
0

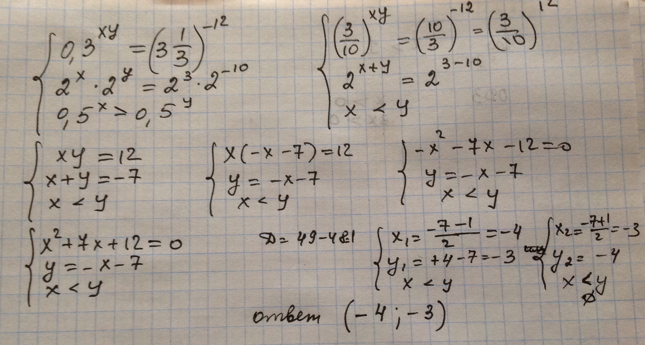
1. 0,3^(x*y)=(3¹/₃)⁻¹²=(10/3)⁻¹²=(3/10)¹²  ⇒      x*y=12.

2. (2^x)*(2^y)=2^(x+y)=2³*2⁻¹⁰=2⁻⁷      ⇒      x+y=-7

x+y=-7       y=-7-x

x*y=12  

x*(- 7-x)=12

-7x-x²=12

x²+7x+12=0    D=1

x₁=-4    y=-3

x₂=-3    y=-4

3. 0,5^x>0,5^y          ⇒

(1/2)^x>(1/2)^y  

x<y       ⇒

Ответ: x=-4       y=-3.

Ответ дал: maksimcat
0
(1/2)^(-4)>(1/2)^(-3)
Ответ дал: maksimcat
0
Dedagenn, верно все в решениях
Ответ дал: Dedagenn
0
Да, проверил, спасибо большое. Подумаю, где промашка
Ответ дал: Аноним
0
https://znanija.com/task/30654003
Ответ дал: temikos666
0
Спасибо
Ответ дал: maksimcat
0

Ответ на фото//////33/

Приложения:
Вас заинтересует