Ответы
Ответ дал:
0
12;8
10;6
12;6
Решение на фото
10;6
12;6
Решение на фото
Приложения:

Ответ дал:
0
Ответ:
Пошаговое объяснение:
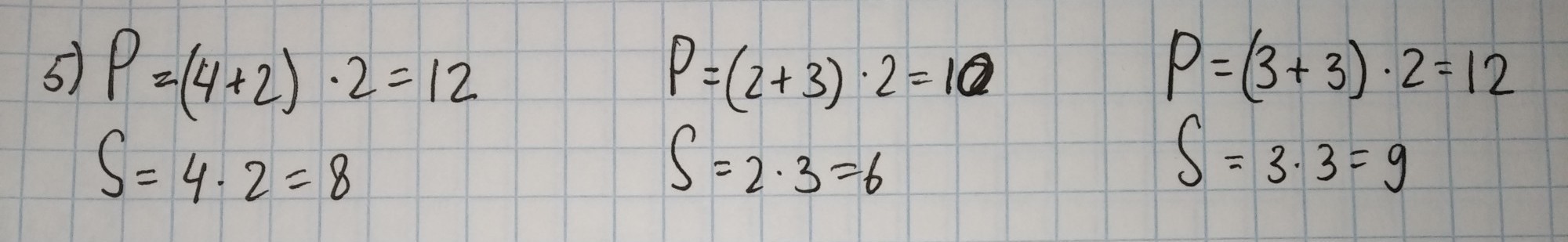
Р - сумма всех сторон (*длинна всего забора вокруг огорода)
S - произведение длинны и ширины (* сколько грядок надо вскопать в этом огороде)
1.) ab+bc+cd+ad = 2+4+2+4 = 12; AB х BC = 8
2) аналогично Р=3+2+3+2=10 и S=3 х 2= 6
3.) тут квадрат, все стороны равны
3+3+3+3=12 и 3х3=9
Приложения:

Вас заинтересует
2 года назад
3 года назад
3 года назад
9 лет назад
9 лет назад
9 лет назад
9 лет назад