• Предмет: Алгебра
  • Автор: sivakovmailcom
  • Вопрос задан 8 лет назад

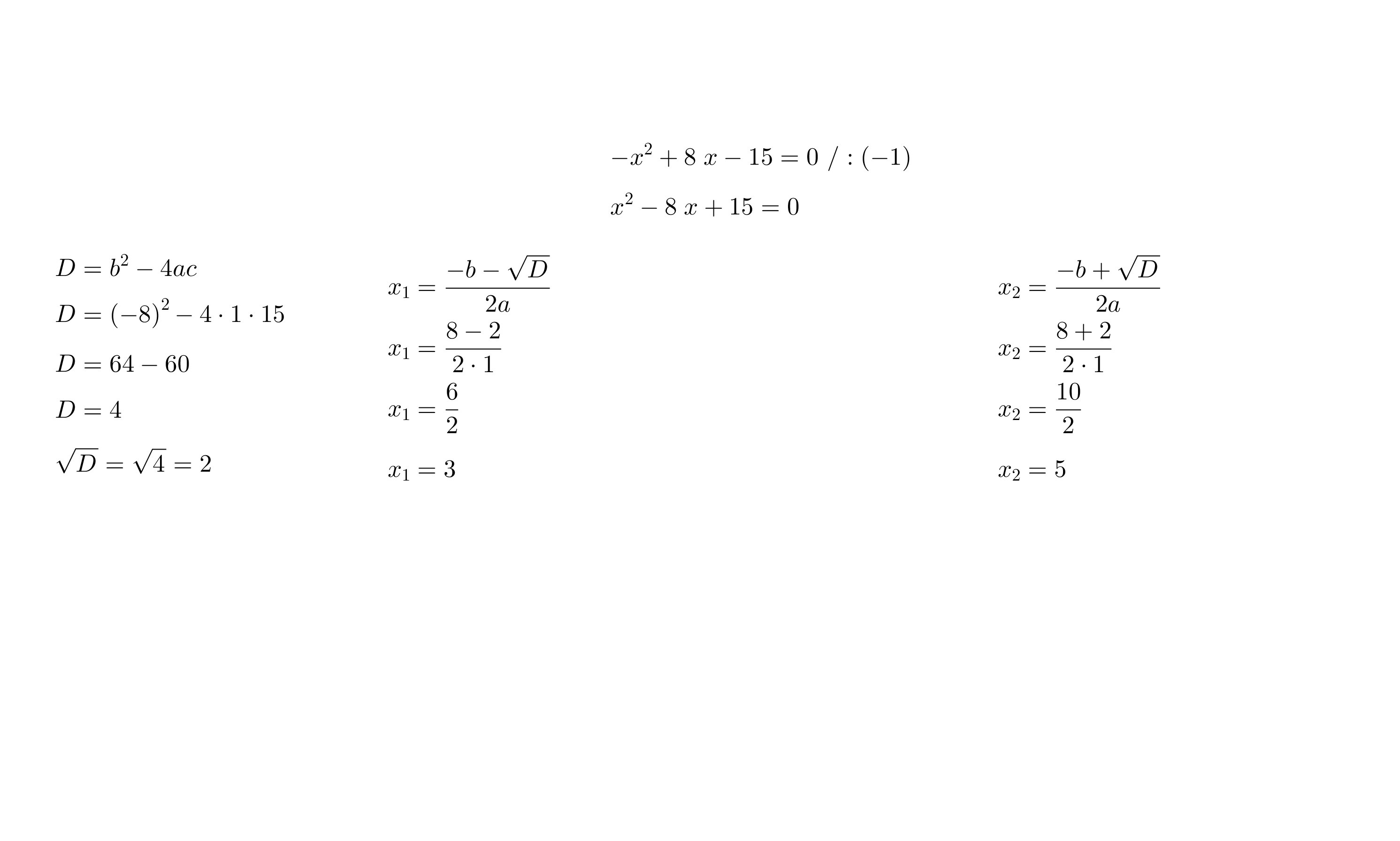
Найди корни квадратных трех членов -х^2+8х-15

Ответы

Ответ дал: Аноним
0

Ответ в файле

===============

Приложения:
Ответ дал: sivakovmailcom
0
спасибо
Ответ дал: Аноним
0
:)
Ответ дал: sivakovmailcom
0
:)
Вас заинтересует