Тело брошено вертикально вверх со скоростью 10 м/с. На какой высоте кинетическая энергия будет равна потенциальной?
Ответы
Ответ дал:
0
Дано:
V=10 м/с.
h=?
_________
Решение:
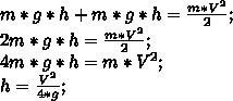
Из условия ясно сказано, что нужно найти высоту при которой потенциальная Энергия равна кинетической. Запишем формулу полной энергии тела:
Где E1 - потенциальная энергия. Формула которой:
E2 - кинетическая энергия. Формула которой:
Получаем:
Считаем:
h=100/40=2,5 м.
Ответ: h=2,5м.
Приложения:




Ответ дал:
0
jnrelf gjzdbkjcm 40&
Ответ дал:
0
откуда появилось 40?
Вас заинтересует
2 года назад
2 года назад
3 года назад
3 года назад
9 лет назад
9 лет назад