Ответы
Ответ дал:
0
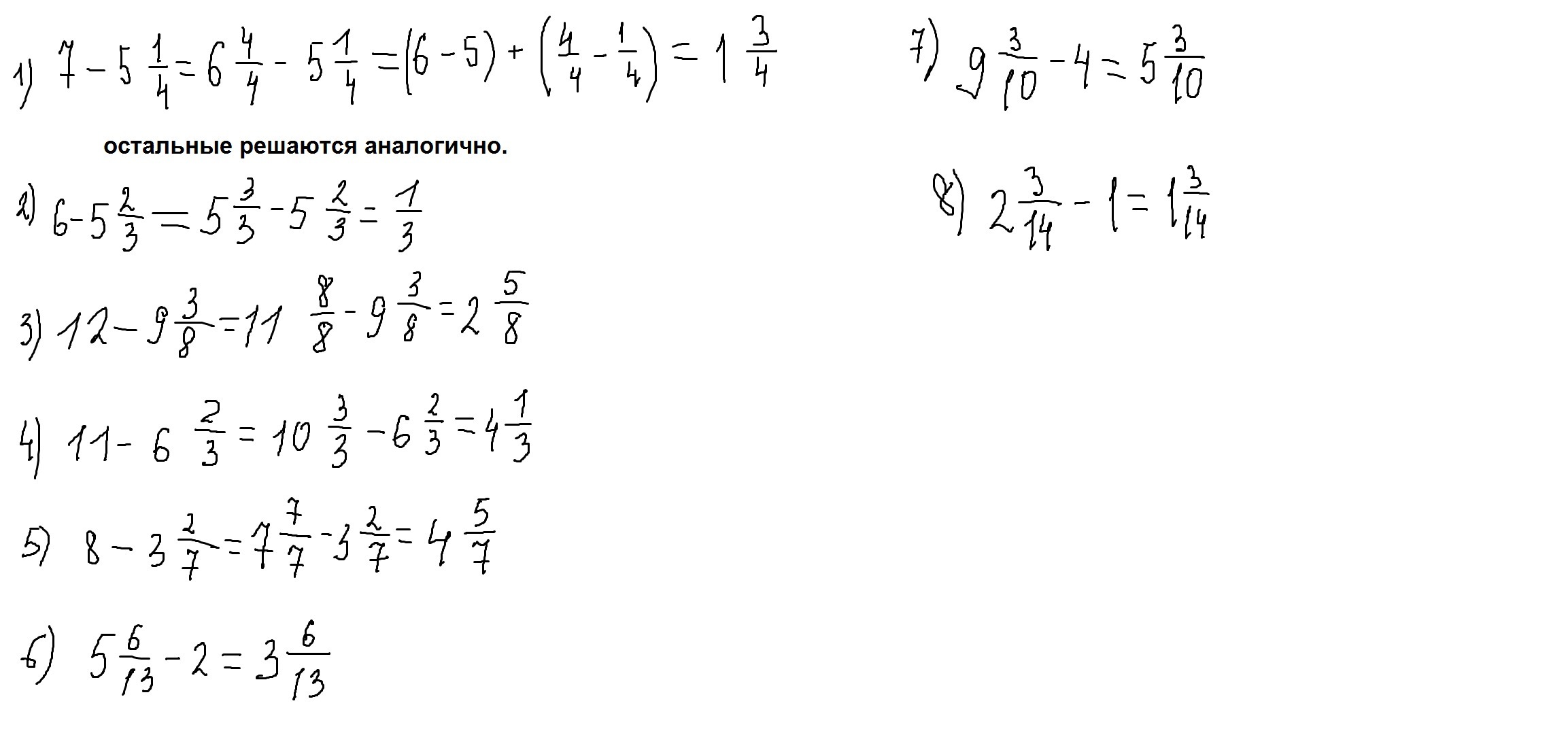
представляем целое число в виде целого и дробного числа.потом от целой части отнимаем целую часть,а от дробной- дробную,затем их складываем(1 пример расписала подробно).А начиная с 6 примера
от целого отнимаем целое, а дробную часть оставляем.
посмотри,я пыталась нарисовать.
Приложения:


Вас заинтересует
2 года назад
3 года назад
3 года назад
9 лет назад
9 лет назад