• Предмет: Алгебра
  • Автор: statas025
  • Вопрос задан 8 лет назад

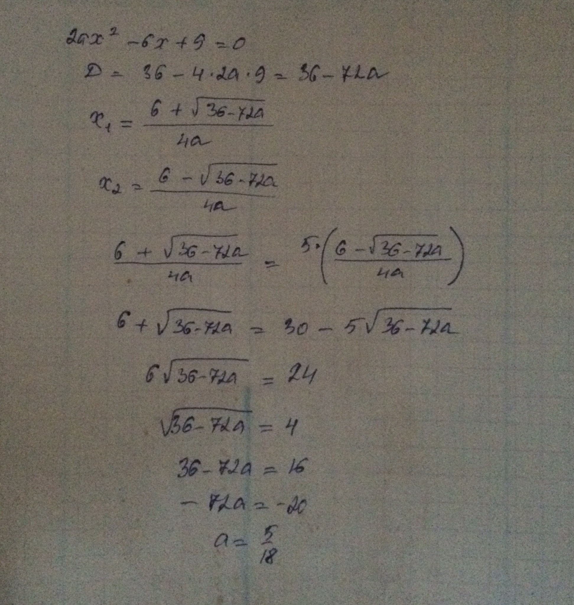
Один из корней уравнения 2ax^2-6x+9=0 в 5 раз больше другого. Найдите a

Ответы

Ответ дал: tatnik12
0

Решаем через дискриминант. Запишем формулу х1 и х2. По условию известно, что один из корней больше другого в 5 раз. На основании этого составляем уравнение.

Приложения:
Вас заинтересует