• Предмет: Алгебра
  • Автор: 89123382453
  • Вопрос задан 8 лет назад

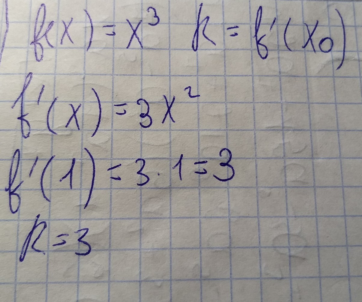
Найти угловой коэффициент касательной к графику функции y=f(x) в точке с абсциссой х₀:

1) f(x)=x³, x₀=1

Ответы

Ответ дал: Pandovna
0
Ответ на фотографии.
Приложения:
Вас заинтересует