• Предмет: Алгебра
  • Автор: Hunta123
  • Вопрос задан 8 лет назад

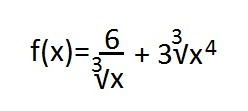
найдите производную...см. картинку

Приложения:

Ответы

Ответ дал: hello93
0
решение на фотографии
Приложения:
Вас заинтересует