• Предмет: Математика
  • Автор: iiiii78
  • Вопрос задан 8 лет назад

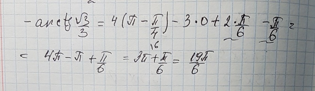
4arc cos-√22-3arc cos 1+2arc sin 1/2-arc tg √3/3

Ответы

Ответ дал: 1233090
0
решение задания смотри на фотографии
Приложения:
Вас заинтересует