• Предмет: Алгебра
  • Автор: hamih30
  • Вопрос задан 8 лет назад

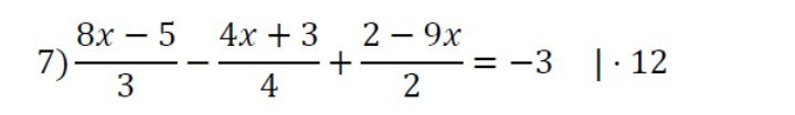
Пожалуйста напишите как разбирать и решать такие примеры,только подробно!!!

Приложения:

Ответы

Ответ дал: tatnik12
0

все слагаемые приводим к общему знаменателю, он равен 12. Для этого первое слагаемое умножаем на 4, второе на 3, третье на 6, четвёртое на 12.

Приложения:
Ответ дал: hamih30
0
СПС
Вас заинтересует