Ответы
Ответ дал:
0
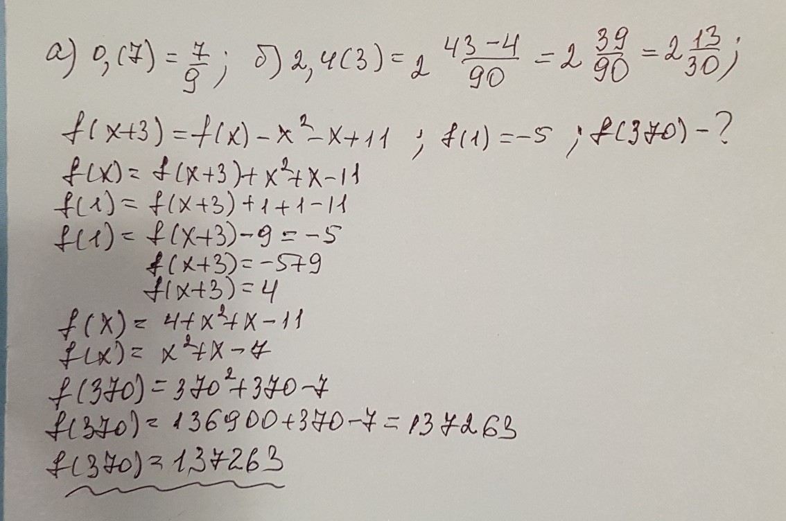
решение функции смотри на фотографии
Приложения:

Ответ дал:
0
Спасибо за оценку
Вас заинтересует
2 года назад
2 года назад
9 лет назад
9 лет назад