• Предмет: Математика
  • Автор: den7443
  • Вопрос задан 8 лет назад

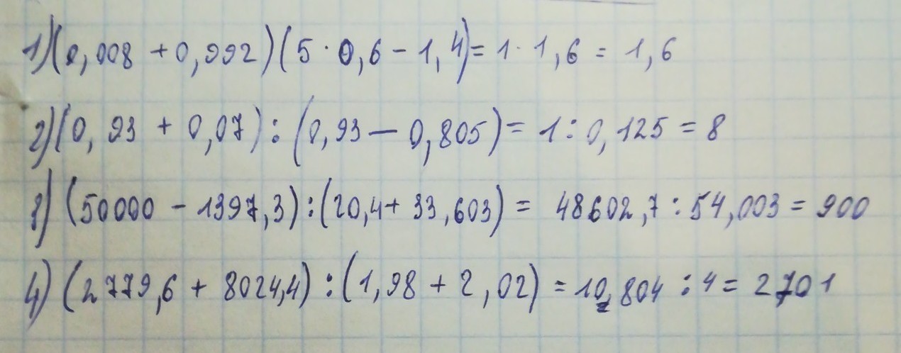
Решите пожалуйста , заранее спасибо

Приложения:

Ответы

Ответ дал: 1311wppt
0
Вот, надеюсь всё понятно, если нет, пиши
Приложения:
Ответ дал: den7443
0
спасибо большое
Вас заинтересует