• Предмет: Математика
  • Автор: jevennach35
  • Вопрос задан 8 лет назад

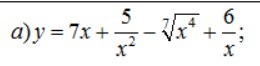
Найти производную функции

Приложения:

Ответы

Ответ дал: table123
0

Ответ:


Пошаговое объяснение:

преобразуем функцию  у=7х+5х^(-2)-x^(4/7)+6/x

y"=7-10х^(-3)-4/7x^(-3/7)-6/x^2

Вас заинтересует