• Предмет: Математика
  • Автор: 325631Ученик325631
  • Вопрос задан 8 лет назад

Помогите пожалуйста
Нужно чтобы как то еще в эти клеточки поместилось
Вщ хз как это

Приложения:

Ответы

Ответ дал: alma86
0

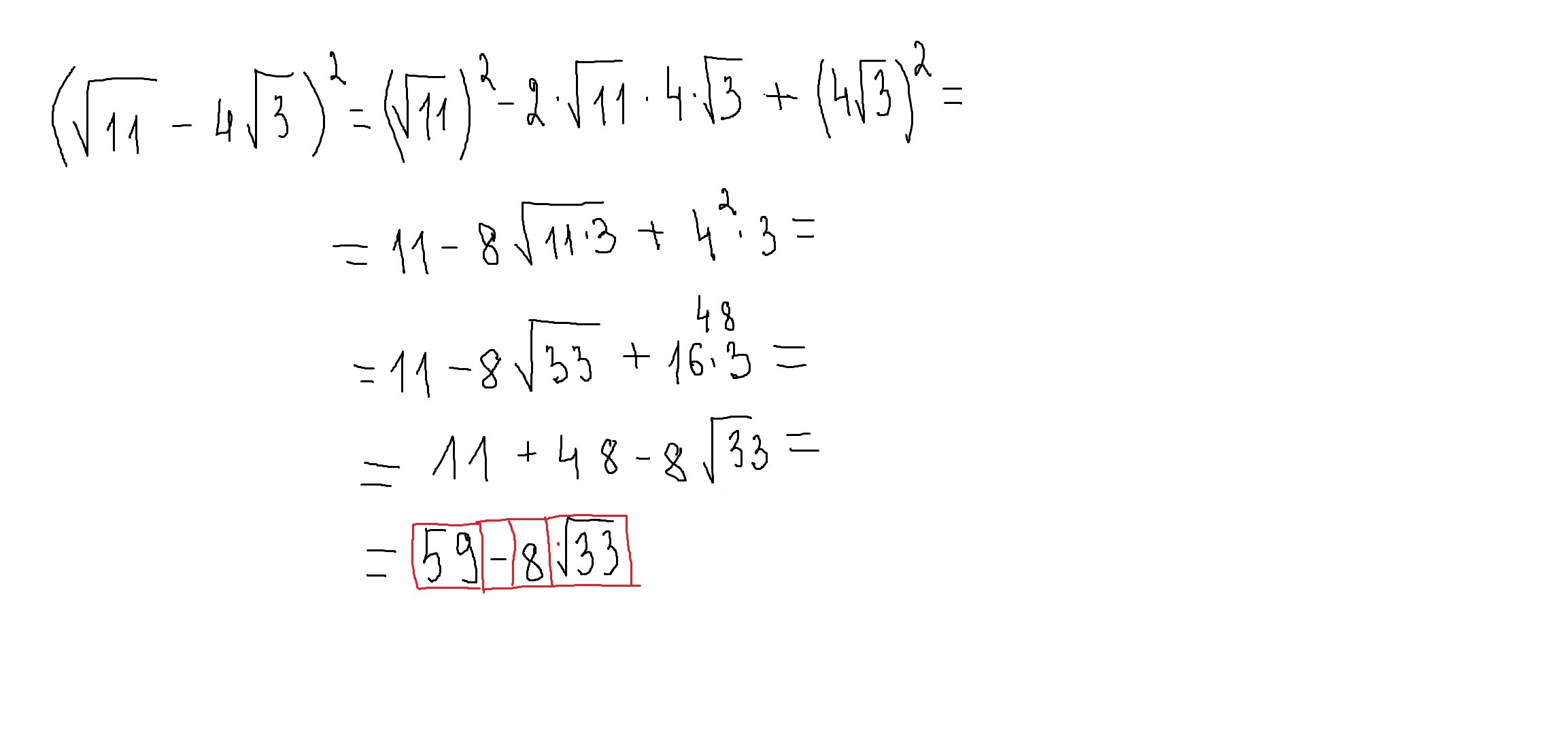
11 - 8 sqrt{33} + 48 =  59 - 8 sqrt{33}
Ответ дал: 325631Ученик325631
0
ааа
Ответ дал: 325631Ученик325631
0
окей
Ответ дал: 325631Ученик325631
0
ща попробую
Ответ дал: alma86
0
напиши верно ли
Ответ дал: 325631Ученик325631
0
тут еще 3 задания, я щас их сделаю и напишу
Ответ дал: parus77
0

Ответ:

посмотри решение внизу



Приложения:
Вас заинтересует