• Предмет: Алгебра
  • Автор: NoobForce
  • Вопрос задан 8 лет назад

Помогите решить 6-7-8(заранее спасибо)

Приложения:

Ответы

Ответ дал: tatnik12
0

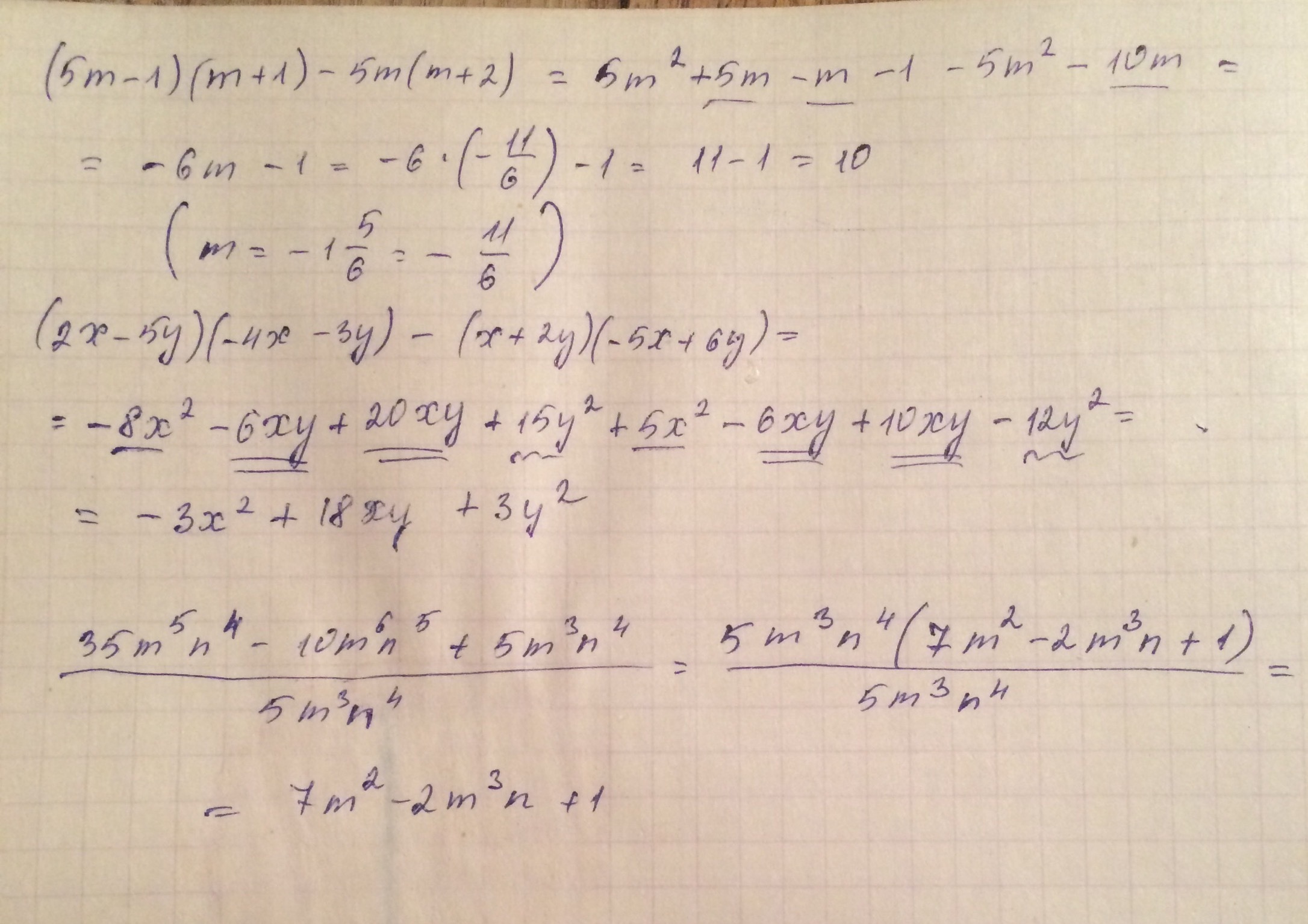
в 6 и 7 раскрываем скобки  и приводим подобные члены. В 8 вынесем общий множитель.

Приложения:
Ответ дал: ClarisVerbis
0
если есть время - посмотрите, пожалуйста, задание без ответов
Ответ дал: ClarisVerbis
0
все, не нужно. извините.
Вас заинтересует