• Предмет: Алгебра
  • Автор: derf111
  • Вопрос задан 8 лет назад

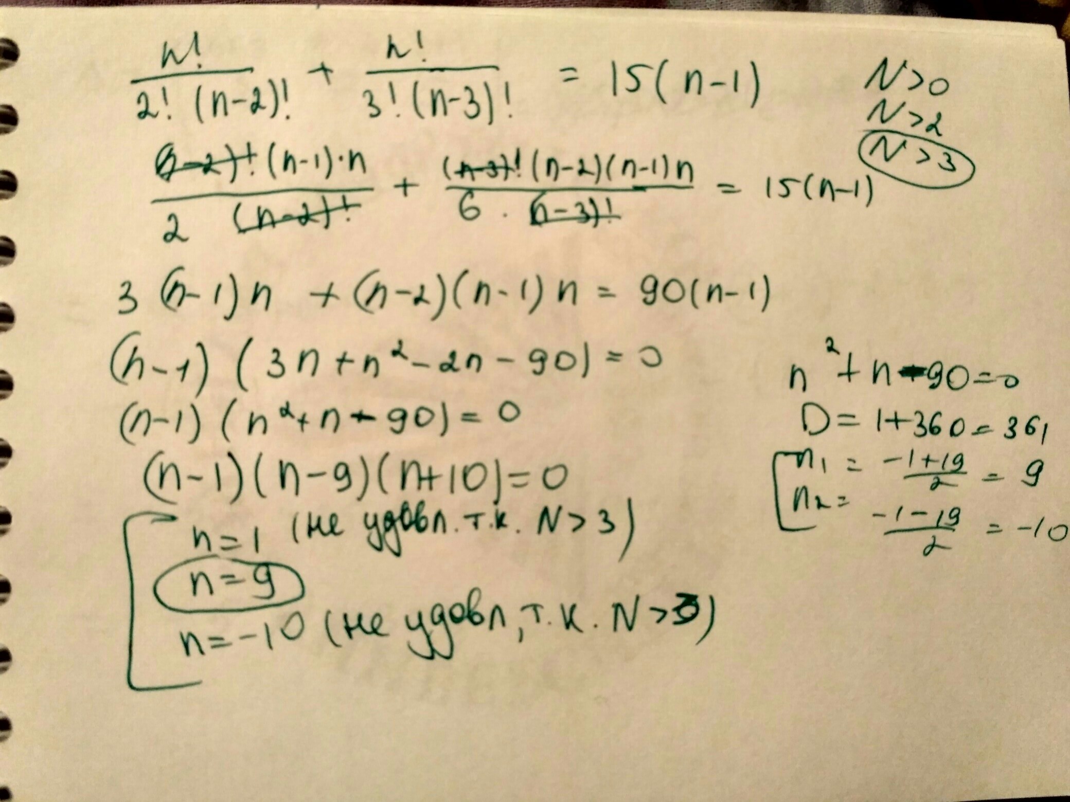
(C из n по 2)+(C из n по 3)=15(n-1)
Найти N

Приложения:

Ответы

Ответ дал: Аноним
0
решение прилагается в фото
Приложения:
Вас заинтересует