• Предмет: Математика
  • Автор: diasibraev57
  • Вопрос задан 8 лет назад

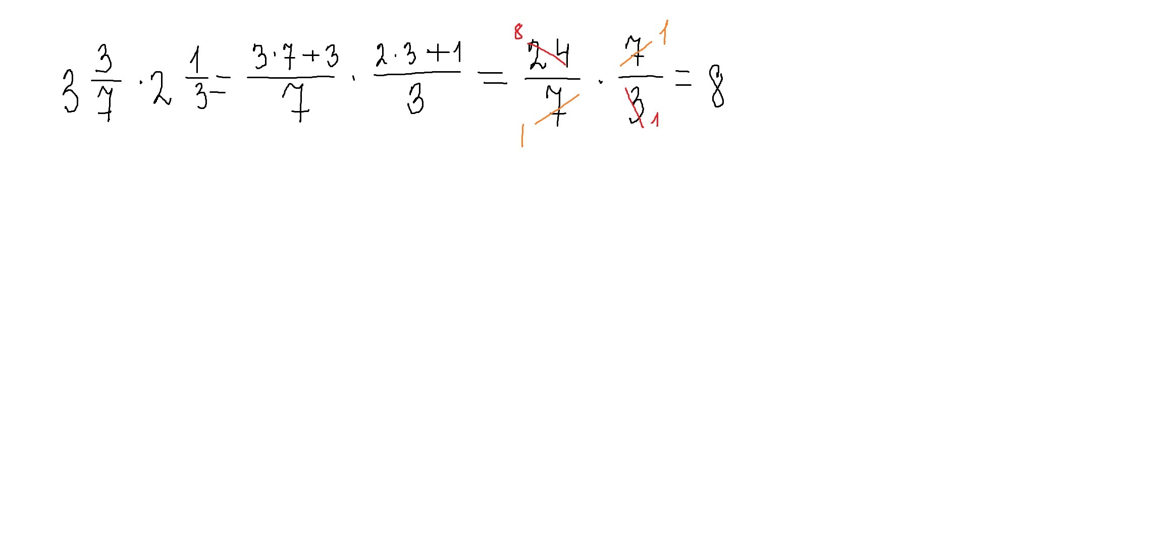
Выполните умнодение смешанных чисел: 7) 3 3/7 * 2 1/3

Приложения:

Ответы

Ответ дал: svetazuna
0

Ответ:

8


Пошаговое объяснение:

3 3/7 * 2 1/3 = (3*7+3)/7 * (2*3+1)/3 = 24/7 * 7/3 = 24/3 = 8

Ответ дал: parus77
0

Ответ: 8

решение смотри внизу

сначала нужно смешанные числа превратить в неправильные дроби,а потом выполнять умножение,предварительно сократив их.


Приложения:
Вас заинтересует