• Предмет: Алгебра
  • Автор: Kseniiaivasenko
  • Вопрос задан 8 лет назад

Упростите выражение
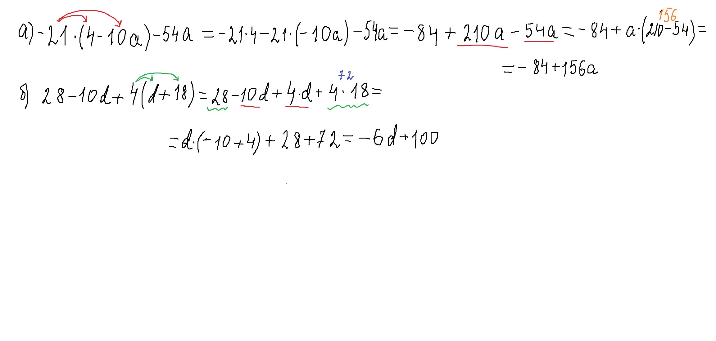
а) -21(4-10а)-54а
б)28-10d+4(d+18)
Объясните пожалуйста!

Ответы

Ответ дал: ИССА2003
0
а) -21(4-10а)-54а = -21*4-21*(-10а)-54а = -84+210а-54а = 210а-54а-84 = 156а-84
б)28-10d+4(d+18) = 28-10d+4d+18*4 = 4d-10d +(28+72) = -6d+100
Ответ дал: Kseniiaivasenko
0
Спасибо огромное!
Ответ дал: parus77
0

решение внизу,где не понятно-спрашивай.

Приложения:
Ответ дал: Kseniiaivasenko
0
Спасибо огромное!
Ответ дал: parus77
0
пожалуйста.
Вас заинтересует