• Предмет: Математика
  • Автор: strokinaalenapevkwb
  • Вопрос задан 8 лет назад

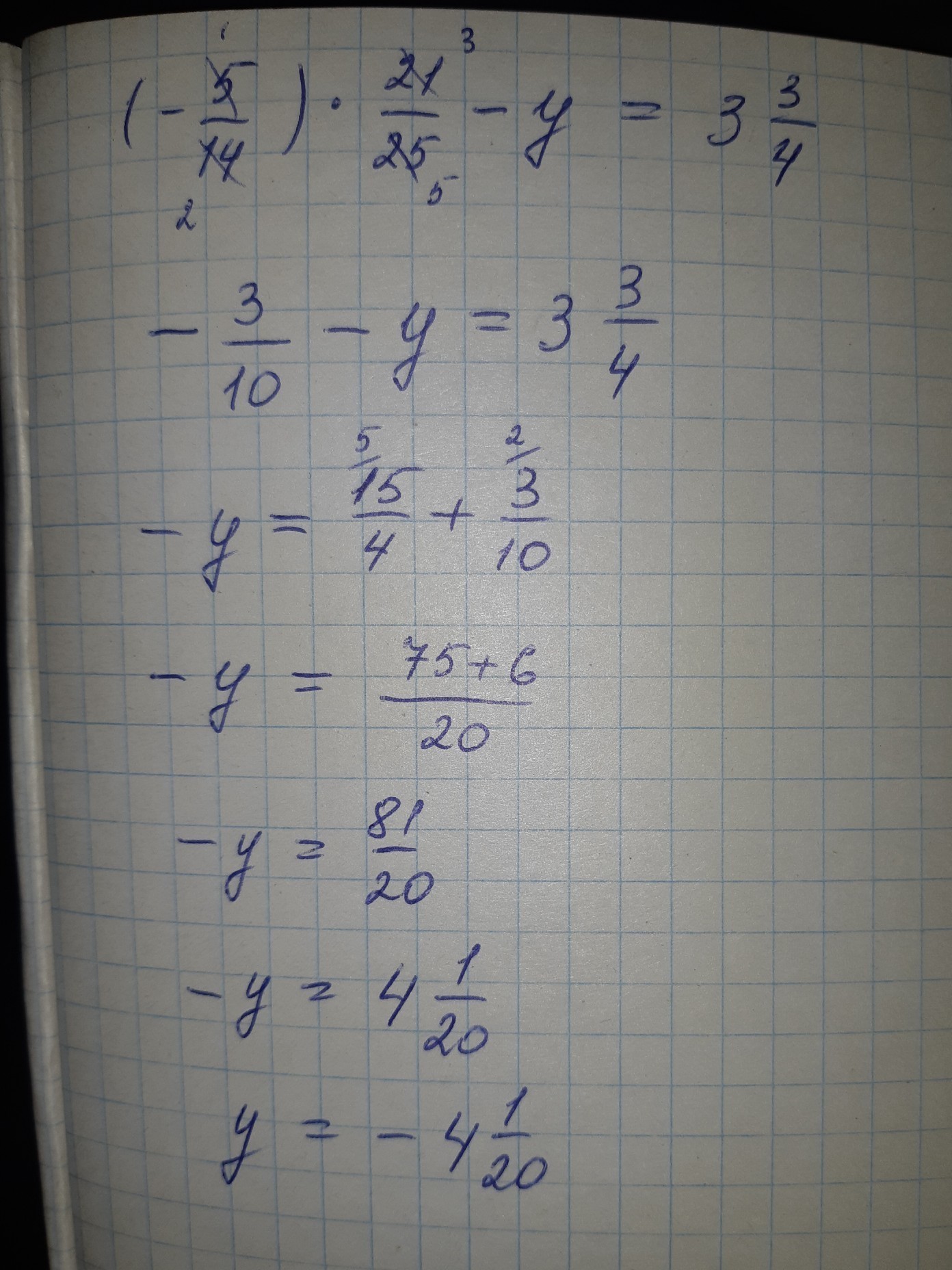
(-5/14)×21/25-y=3.3/4

Ответы

Ответ дал: tatsach
0

Ответ:


Пошаговое объяснение:

(-5/14)×21/25-y=3.3/4

-3/10-у=3 3/4

-у=3 3/4+3/10

-У=3 15/20+6/20

-у=4 1/20

У=-4 1/20

Ответ дал: lenok3781
0
_________________________
Приложения:
Вас заинтересует