• Предмет: Алгебра
  • Автор: KNYR
  • Вопрос задан 8 лет назад

Решите неравенство x2 < 16
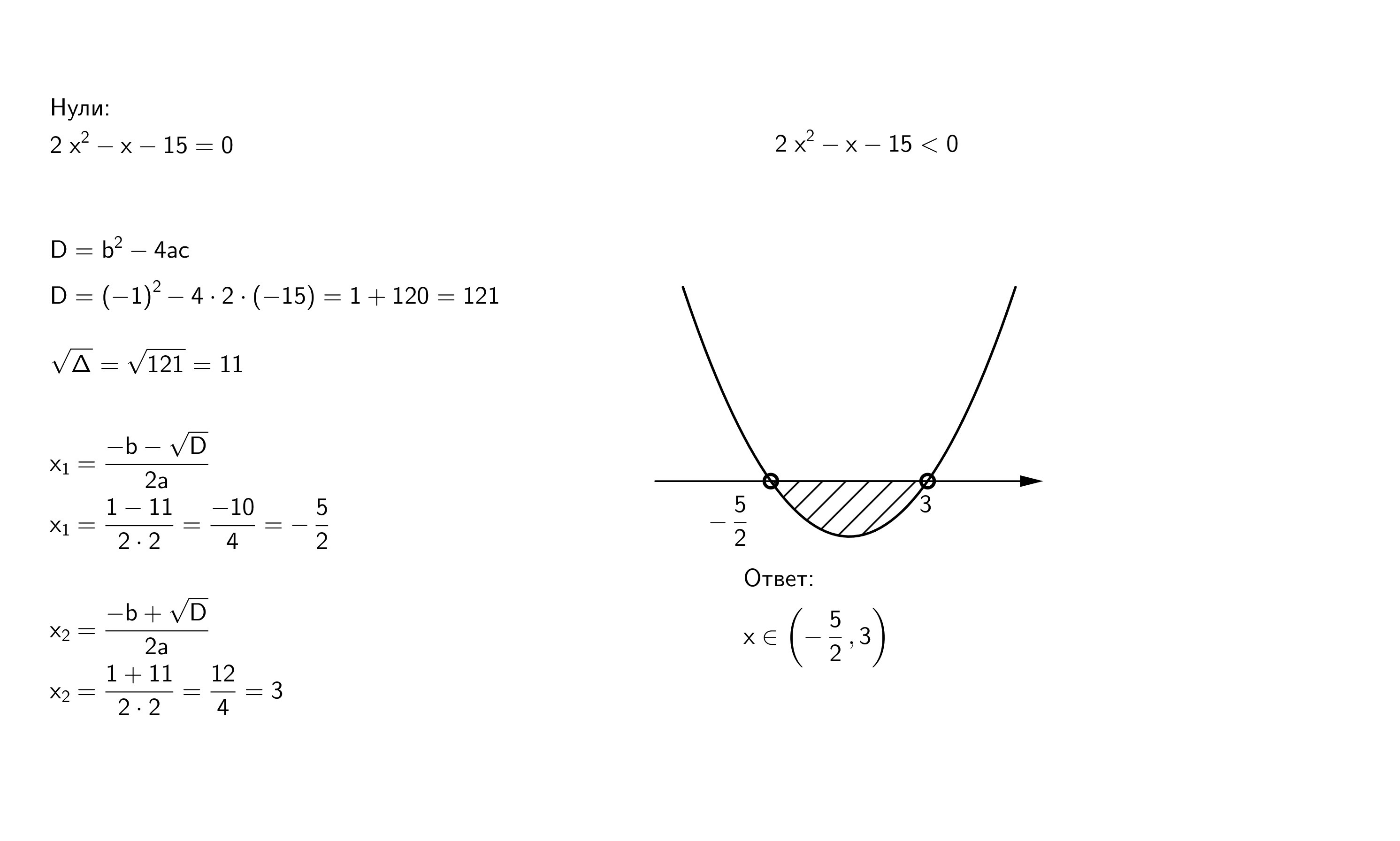
2x2-x-15>0

Ответы

Ответ дал: Аноним
0

Ответ в файле

============

Приложения:
Вас заинтересует