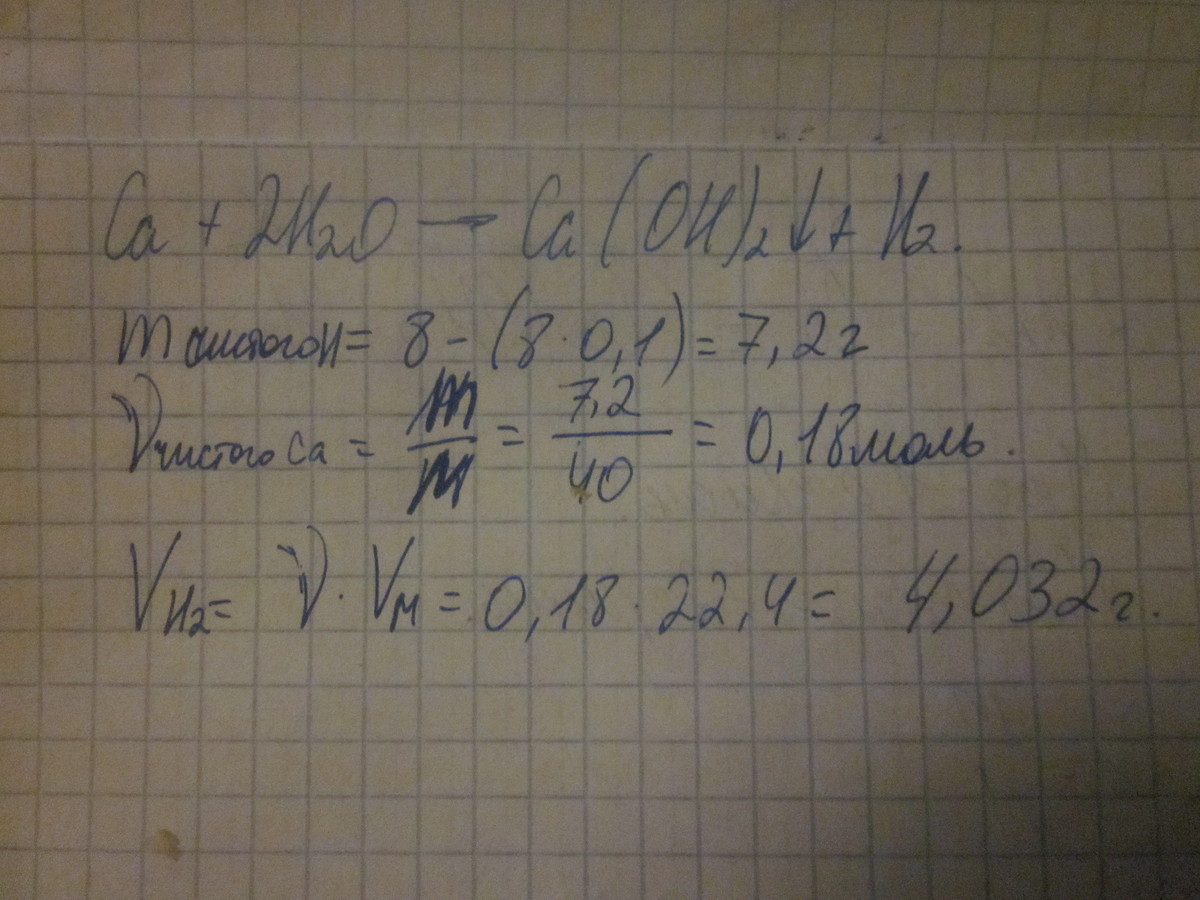
Найти объем водорода,который образуется при взаимодействии 8 грамм кальция содержащего 10%примесей с водой.
Ответы
Ответ дал:
0
как-то так это все решается. если не поймешь, объясню.
только там не m(чистого Н), а m(чистого Са)
только там не m(чистого Н), а m(чистого Са)
Приложения:

Вас заинтересует
2 года назад
2 года назад
8 лет назад
8 лет назад
10 лет назад
10 лет назад