Ответы
Ответ дал:
0
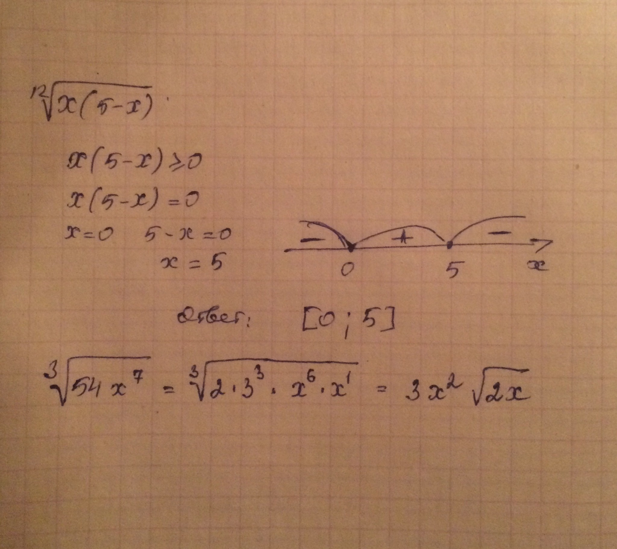
все выражение под корнем должно быть >=0.
Находим 0 функции, методом интервалов определяем на каком промежутке функция >=0.
Приложения:

Вас заинтересует
2 года назад
2 года назад
3 года назад
3 года назад
9 лет назад
9 лет назад