• Предмет: Алгебра
  • Автор: Данич145
  • Вопрос задан 8 лет назад

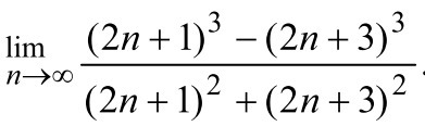
Вычислить пределы числовых последовательностей

Приложения:

Ответы

Ответ дал: lidiasaraa3
0

фото.......................

Приложения:
Вас заинтересует