• Предмет: Алгебра
  • Автор: tatnyadrygina03
  • Вопрос задан 8 лет назад

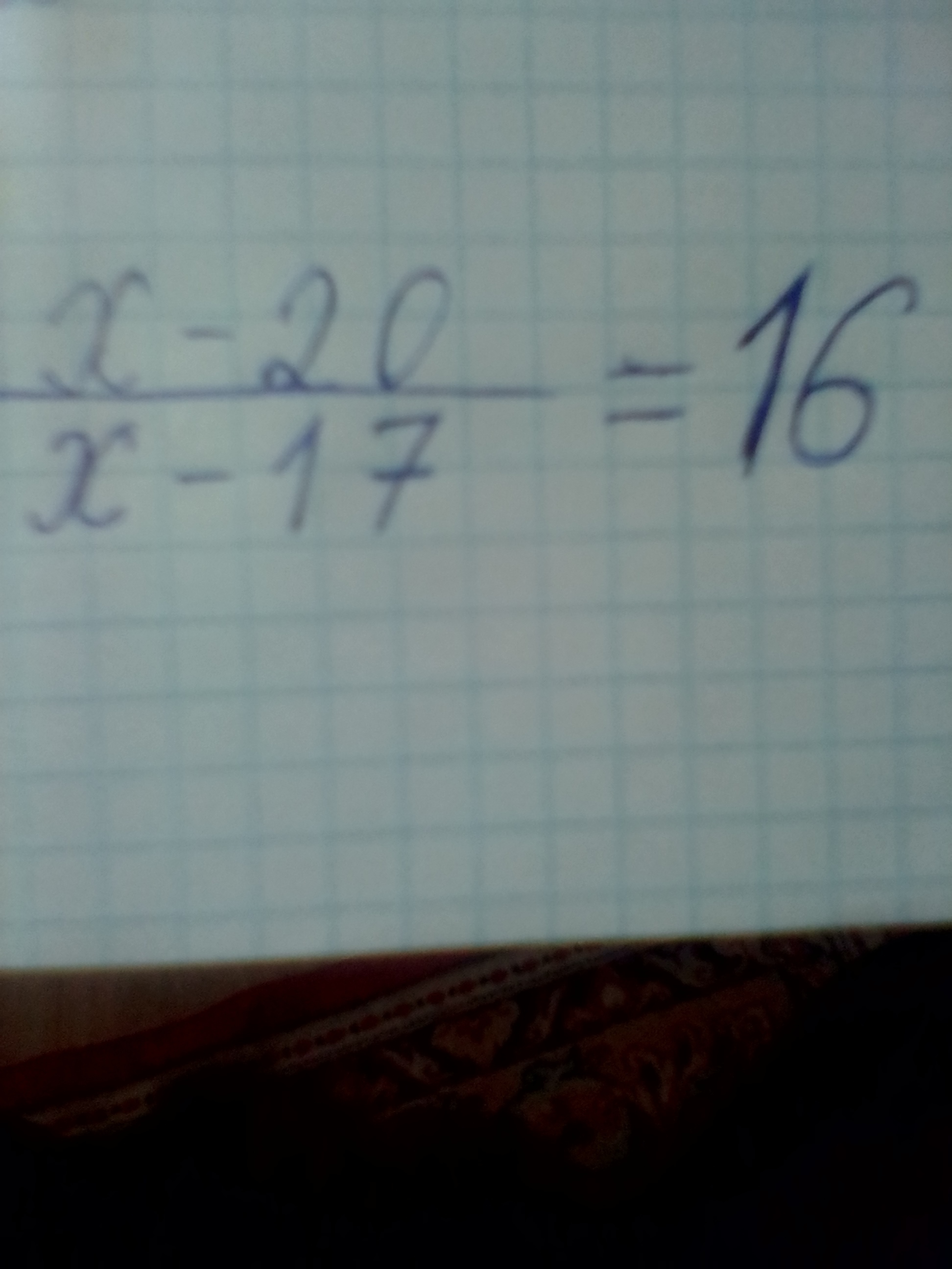
Решите уравнение срочно нужно.

Приложения:

Ответы

Ответ дал: Toledo1337
0

frac{x-20}{x-17} =16;\ x-20=16(x-17;)\x-20=16x-272;\x-16x=-272+20;\-15x=-252;\x=frac{84}{5}

Ответ дал: miron2077
0

(х-20)/(х-17)=16         х≠17

х-20=16х-272

-15х=-252

х=-252:(-15)

х=16,8

Вас заинтересует