Ответы
Ответ дал:
0
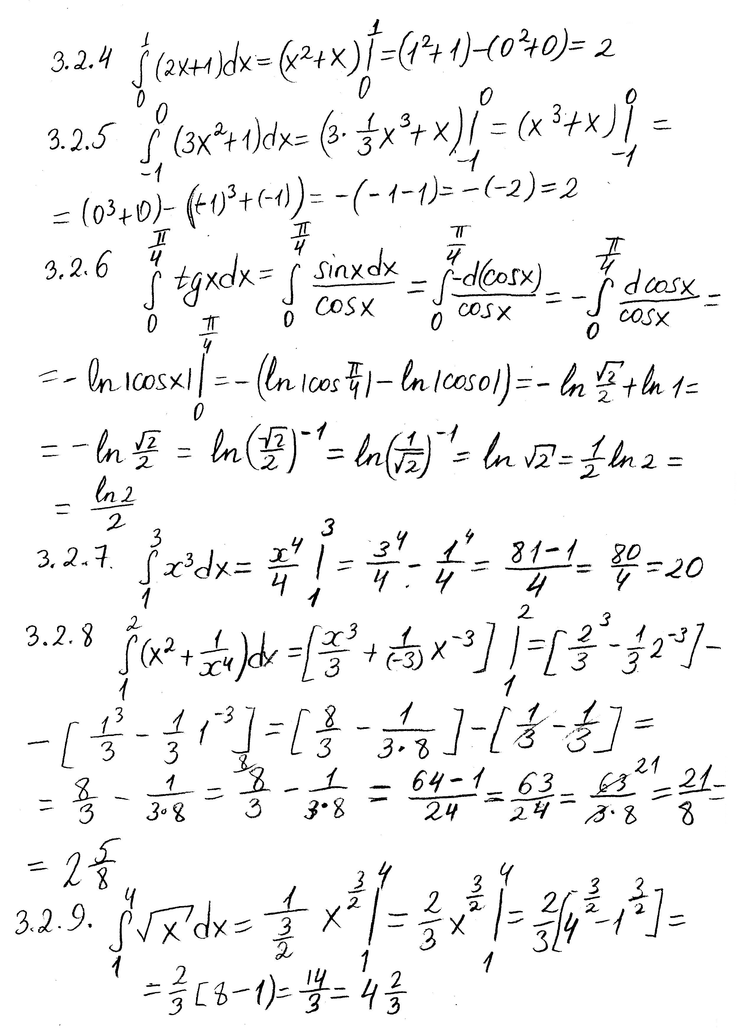
Решение в приложении. Должно быть правильно. Тут и есть неопределенные интегралы, которые просили решить. Это второе приложение.
Приложения:


Ответ дал:
0
Спасибо, можешь ещё решить ?
Ответ дал:
0
вряд ли. Проверь мои решения
Ответ дал:
0
Привет, ты мне помог недавно, все было правильно, можешь решить задине ?
Вас заинтересует
2 года назад
2 года назад
3 года назад
9 лет назад
9 лет назад