• Предмет: Алгебра
  • Автор: tuloberdievaa1703
  • Вопрос задан 8 лет назад

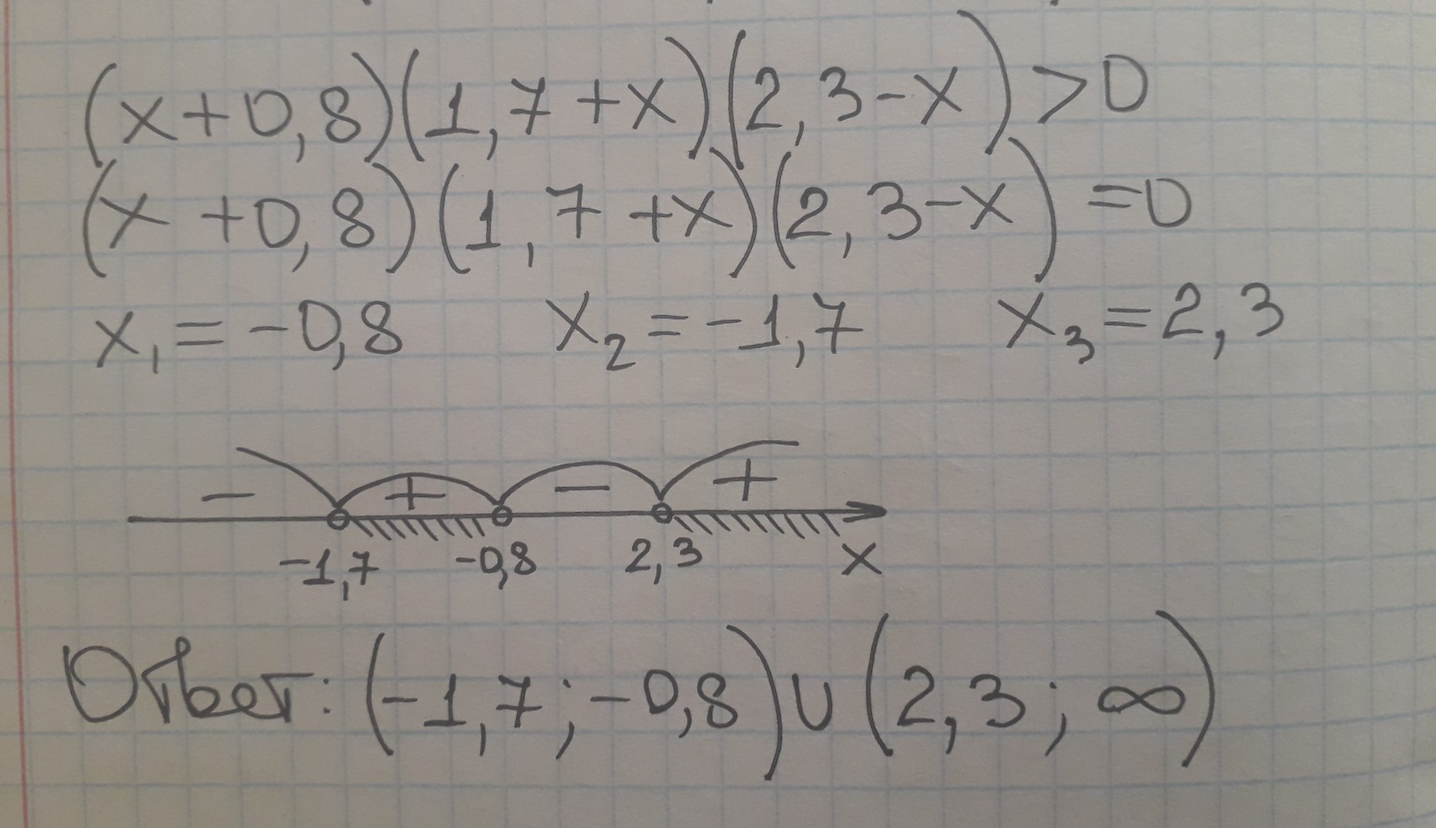
решите (x+0,8) (1,7+x) (2,3-x) методом интервалов

Ответы

Ответ дал: Anya258258
0
Решение смотреть на фото
Приложения:
Ответ дал: tuloberdievaa1703
0
больше нуля
Ответ дал: Anya258258
0
Хорошо тогда щас решу
Ответ дал: Anya258258
0
Хорошо, тогда щас решу
Ответ дал: tuloberdievaa1703
0
спасибо большое
Вас заинтересует