• Предмет: Математика
  • Автор: iMichael
  • Вопрос задан 8 лет назад

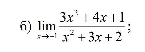
Всем привет. Стоит задача: "Вычислить пределы функций, не пользуясь средствами дифференциального исчисления".

Можно ли будет решить данный пример через нахождение корней через дискриминант? Это не будет считаться что я использую "средства дифференциального исчисления" ?

Приложения:

Ответы

Ответ дал: xxxeol
0

Пошаговое объяснение:

Решаем каждое квадратное уравнение отдельно и потом сокращаем неопределенность.

В числителе:  3*x² + 4x + 1 = 3*(x + 1/3)*(x+1)

В знаменателе: x² + 3*x + 2 = (x+2)*(x+1)

Сократили и получили:

lim(x->-1) = 3*(x+ 1/3)/(x+2) = - 2 - ОТВЕТ


Ответ дал: iMichael
0
Так и думал, спасибо!
Ответ дал: iMichael
0
Хотя я не уверен, потому что в знаменателе в итоге должна ещё быть цифра 3
3(x+1/3) и в итоге в ответе будет -6/3 = -2
Ответ дал: iMichael
0
Проверьте пожалуйста!
Ответ дал: iMichael
0
Точнее это не в знаменателе, а в числителе!
Ответ дал: iMichael
0
Можете помочь с аналогичными заданиями? у меня в профиле. Буду благодарен
Вас заинтересует