Ответы
Решение в скане.....

task/30681574
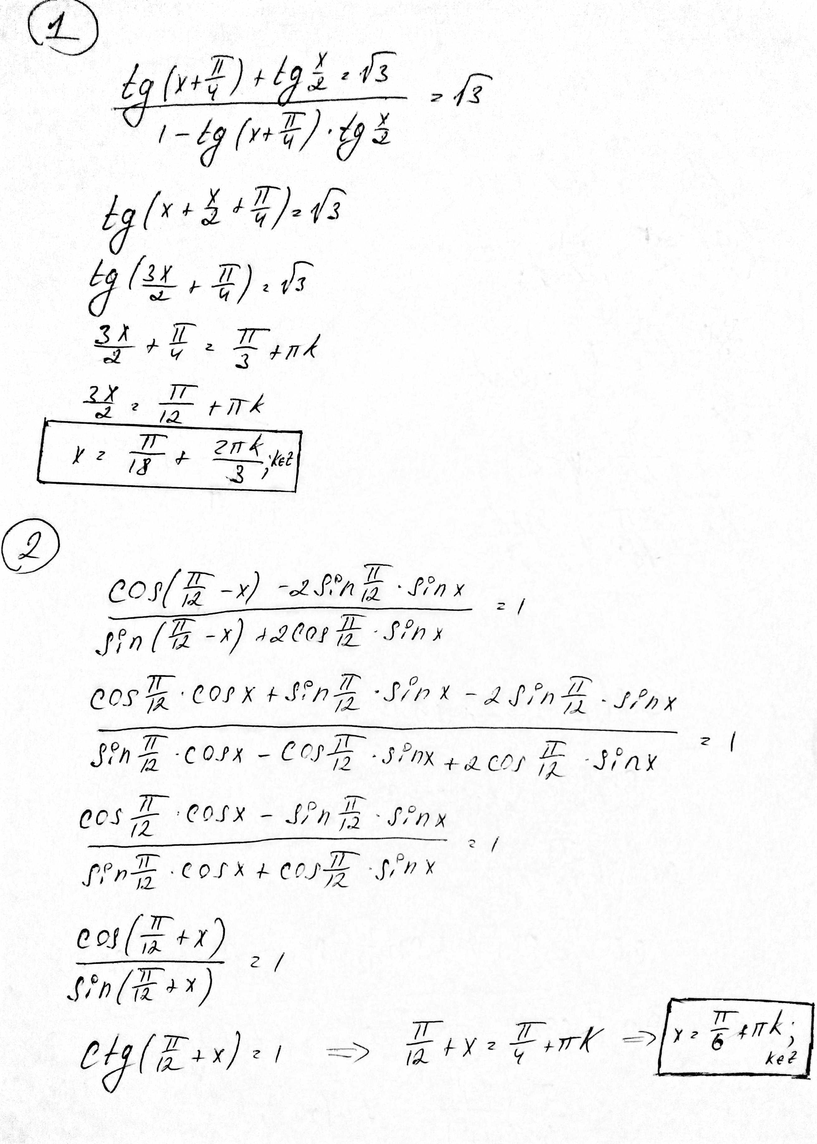
1 . ( tg(x+π/4) +tg(x/2) ) / (1 - tg(x+π/4) *tg(x/2) )
решение :
* * * tg(α +β) = ( tgα+tgβ ) / (1 - tgα *tgβ ) , [ α =x+π/4 ,β= x/2 ] * * *
( tg(x+π/4) +tg(x/2) ) / (1 - tg(x+π/4) *tg(x/2) ) = √3 [ tgπ/4 =1 ] ⇔
tg(x+π/4+x/2 ) = √3 [ tgπ/3 =√3 ] ⇔ x+π/4+x/2 = π/3 +πn , n ∈ ℤ⇔
3x/2 = π/3 - π/4+ πn , n ∈ ℤ ⇔ x =(2/3)*(π/12 +πn) , n ∈ ℤ ⇔
ответ : x = π/18 + (2/3)πn , n ∈ ℤ
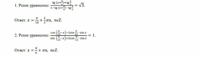
2. ( cos(π/12 -x ) - 2sin(π/12)*sinx )/(sin(π/12 -x ) +2cos(π/12)*sinx ) = 1
решение :
* * * 2sinα*sinβ=cos(α-β )- cos(α+β) , 2sinα*cosβ= sin(α+β)+sin(α - β) * * *
( cos(π/12 -x ) - 2sin(π/12)*sinx ) /(sin(π/12 -x )+2sinx*cos(π/12) ) = 1 ⇔
(cos(π/12-x)-cos(π/12-x)+cos(π/12+x) )/(sin(π/12-x)+sin(x+π/12 )+sin(x-π/12) )=1
[ sin(π/12-x) = sin( -(x -π/12) ) = - sin(x-π/12) ] ⇔
cos(π/12+x )/ sin(π/12+x ) = 1 ⇔ ctg(π/12+x) = 1 ⇔π/12+x= π/4 +πn , n∈ ℤ
x = π/4 -π/12 +πn , n∈ ℤ ⇔ x = π / 6 +πn , n∈ ℤ
ответ: x = π / 6 +πn , n∈ ℤ
можно и см ФОТО
