• Предмет: Алгебра
  • Автор: sherba84
  • Вопрос задан 8 лет назад

Помогите решить. Все способы перепробовала и не получается. ДАЮ 30 БАЛЛОВ.

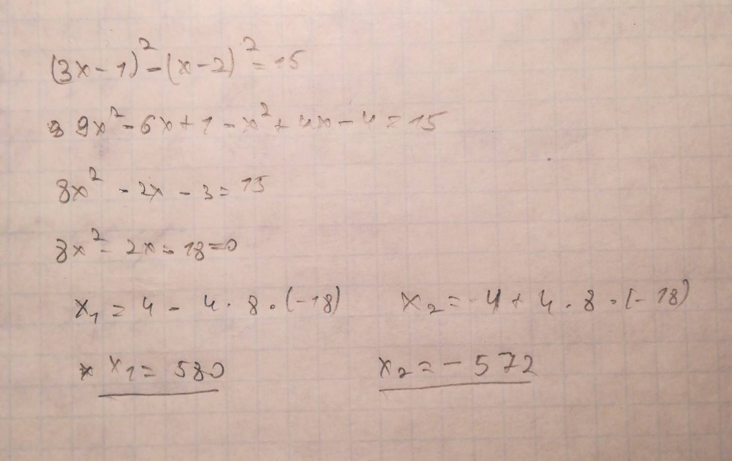
При каких значениях переменной разность квадратов двучленов 3х-1 и х-2 равна 15 ?

Ответы

Ответ дал: apa20042
0
Ответы подчеркнуты это решение 8 класса если что...
Приложения:
Вас заинтересует