• Предмет: Алгебра
  • Автор: serebryansky020502
  • Вопрос задан 8 лет назад

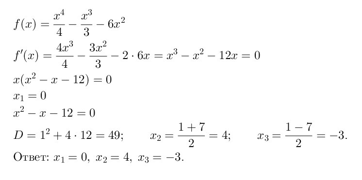
найдите при каких значениях x равна нулю производная функции f(x)=(x^4/4)-(x^(3)/3)-(6x^2)

Ответы

Ответ дал: genius20
0

...........................

Приложения:
Вас заинтересует