• Предмет: Математика
  • Автор: виктория123600
  • Вопрос задан 8 лет назад

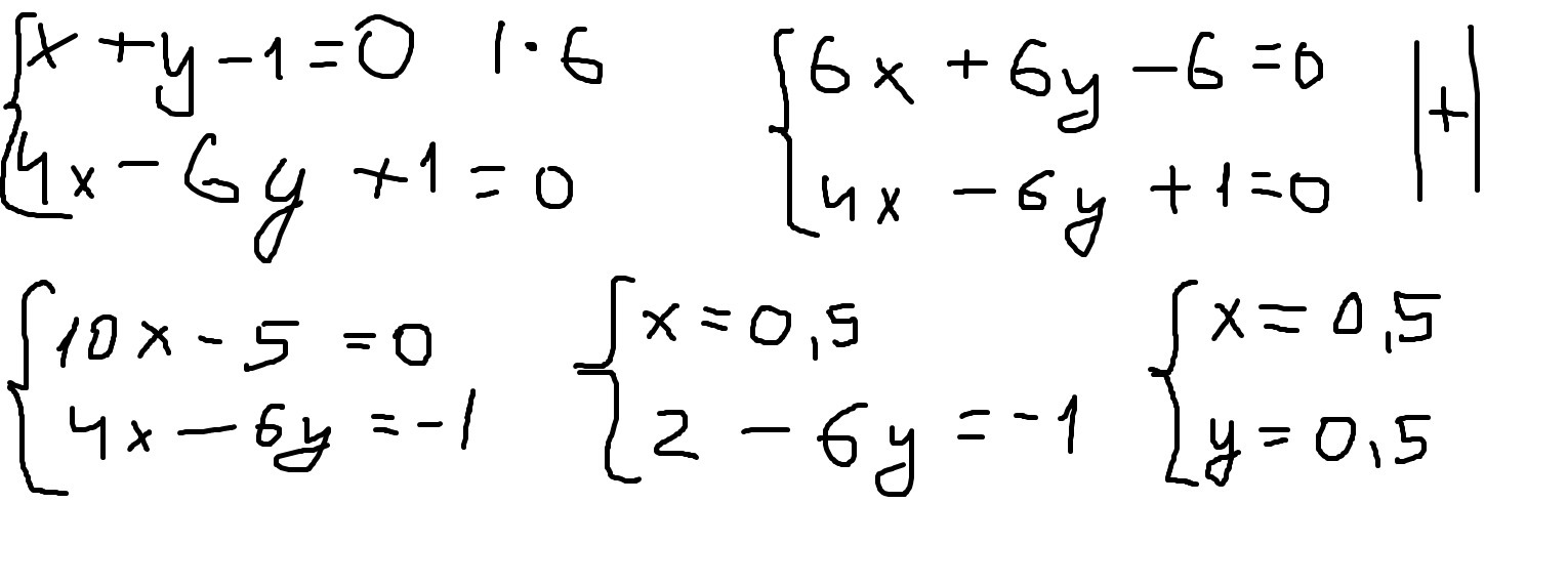
 {(x + y - 1)}^{2}  +  {(4x - 6y + 1)}^{2}  = 0

Ответы

Ответ дал: seshtillirest
0

Ответ:

( 0,5 ; 0,5 )

Пошаговое объяснение:


Приложения:
Вас заинтересует