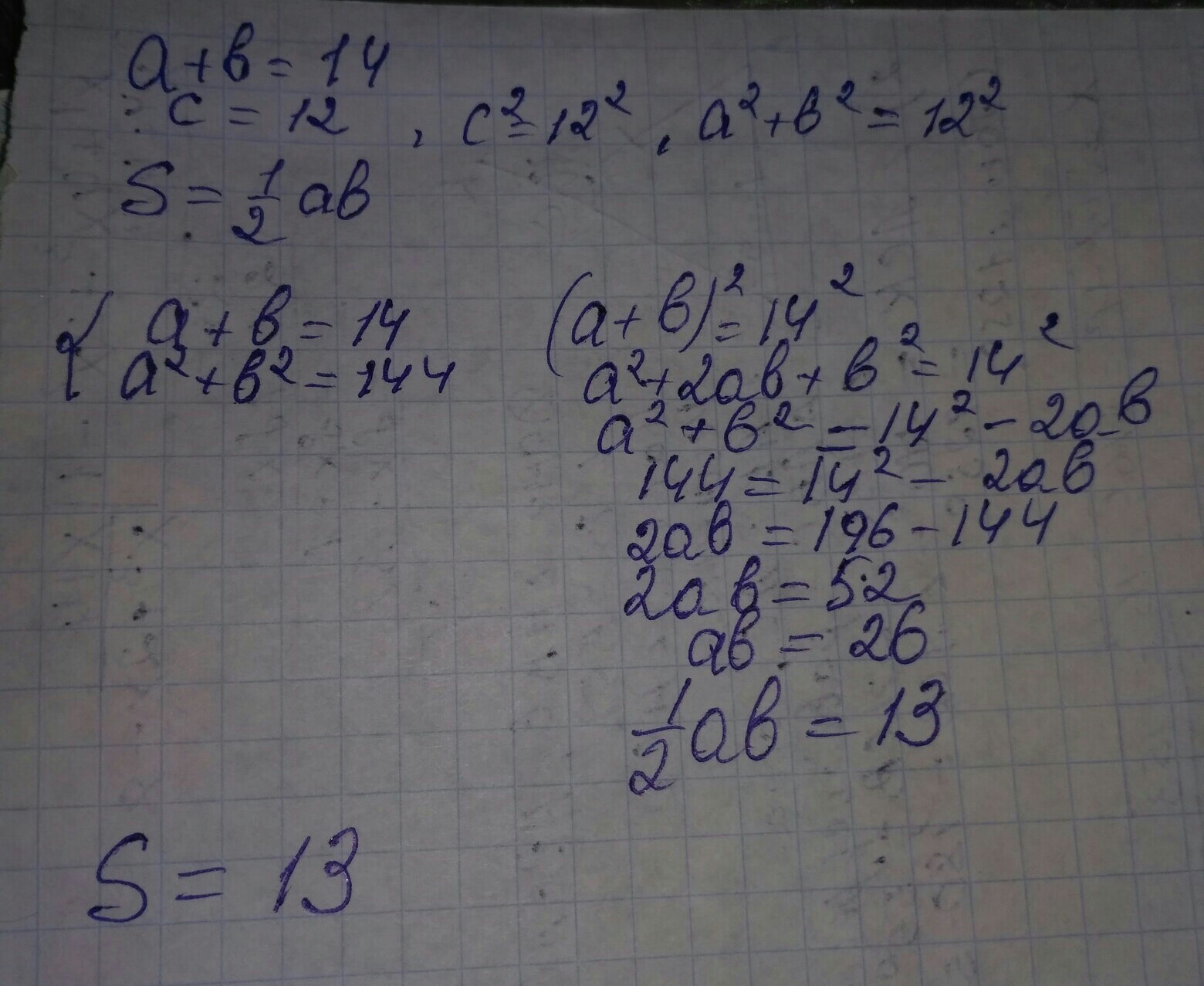
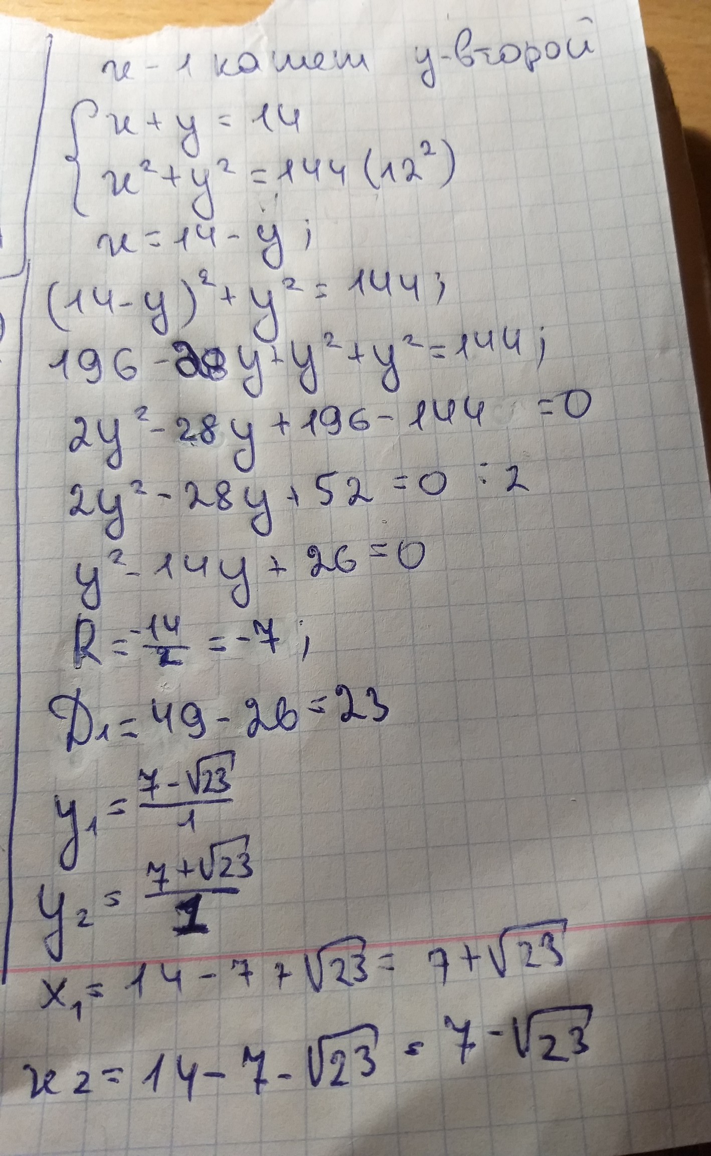
Сумма катетов прямоугольного треугольника равна 14 см, гипотенуза равна 12 см. Найдите площадь треугольника
Ответы
Ответ дал:
0
. . ...................
Приложения:

Ответ дал:
0
Ответ на фотографии.
Приложения:


Вас заинтересует
2 года назад
2 года назад
3 года назад
3 года назад
9 лет назад
9 лет назад