• Предмет: Математика
  • Автор: mrppa
  • Вопрос задан 8 лет назад

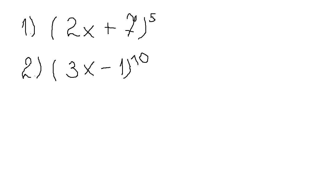
Разложить на множители:

Приложения:

Ответы

Ответ дал: deadmorosRu
0

 {2}^{5} {x}^{5}  +  {7}^{5}  \  {3}^{10}  -  {1}^{10}
Ответ дал: ledivoll2005
0

Пошаговое объяснение:

(3х-1)¹⁰ = 3х¹⁰-1¹⁰

(2х+7)⁵=2х⁵+7⁵


Ответ дал: ledivoll2005
0
3х и 2х в скобки только возьми
Вас заинтересует