• Предмет: Математика
  • Автор: malko51
  • Вопрос задан 8 лет назад

Пожалуйста помогите!
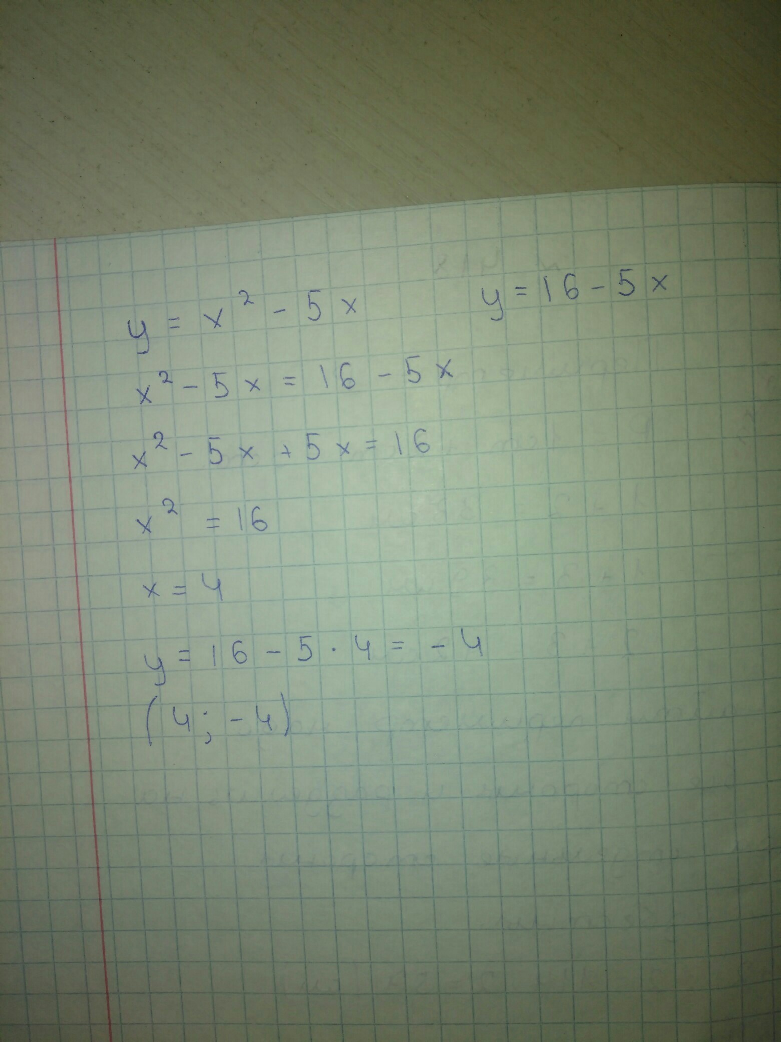
найдите координаты точек пересечения графиков функций (не выполняя построений)
у=х²-5х и у=16-5х

Ответы

Ответ дал: lolita8475
0
Как нам объясняли, надо приравнять оба выражения и решить уравнение, если что то не понятно - спрашивай)
Приложения:
Ответ дал: malko51
0
огромное спасибо
Вас заинтересует