• Предмет: Математика
  • Автор: koritnikovamari
  • Вопрос задан 8 лет назад

решите плиз даю 25 баллов

Приложения:

Ответы

Ответ дал: like512
0
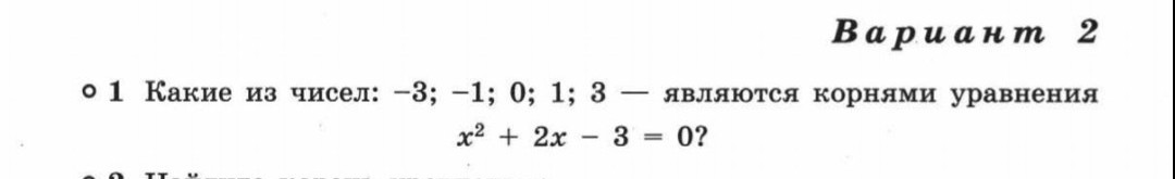
1 и -3 эти числа являются корнями уравнение
Ответ дал: karankevichdar
0
x2+2x-3=0
подставляем числа,что бы уравнение имело смысл.
Это число -3 и 1.
Вас заинтересует