• Предмет: Алгебра
  • Автор: saneeeekk
  • Вопрос задан 8 лет назад

Значение линейной функции

Приложения:

Ответы

Ответ дал: mrlexayan
0

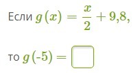
Подставляешь x= -5 в g(x)=frac{x}{2}+9.8

Получается g(-5)=frac{-5}{2}+9.8=-2.5+9.8=7.3

Ответ: 7.3

Вас заинтересует