• Предмет: Математика
  • Автор: alice3320
  • Вопрос задан 8 лет назад

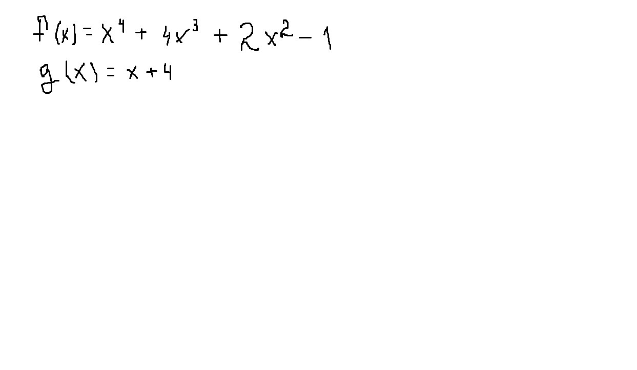
Срочно делить многочлен на многочлен

Приложения:

Ответы

Ответ дал: fescobalt62
0

Ответ:

Целая часть: x^{3} + 2x - 8

Остаток: 31

Пошаговое объяснение:


Вас заинтересует